Fig. 10

Download original image
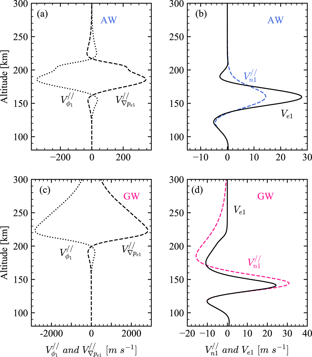
Altitude profiles of the perturbed velocities. driven by AW and GW mode are plotted in panels a and c, respectively. The perturbed electron velocity, Ve1, and the field-aligned perturbed neutral velocity,
, driven by AW and GW modes are displayed in panels b and d, respectively. The input parameters are τ = 4.2 min, λh = 80 km,
km−1, and cp = 321 m s−1 for the AW mode and are τ = 39.4 min, λh = 210 km,
km−1, and cp = 89 m s−1 for the GW mode. Waves are propagated in the x–ɀ plane. The dip angle of the magnetic field is assumed to be zero degree.
Current usage metrics show cumulative count of Article Views (full-text article views including HTML views, PDF and ePub downloads, according to the available data) and Abstracts Views on Vision4Press platform.
Data correspond to usage on the plateform after 2015. The current usage metrics is available 48-96 hours after online publication and is updated daily on week days.
Initial download of the metrics may take a while.