Fig. 15

Download original image
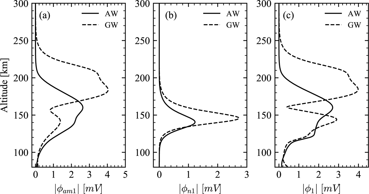
Altitude profiles of (a) perturbed ambipolar electric potential, ϕam1, (b) neutral wind-driven polarization electric potential, ϕn1, and (c) total perturbed electric potential, ϕ1, driven by AW and GW wave modes and plotted by solid and dashed curves, respectively. Input parameters are τ = 4.2 min, λh = 80 km, km−1, and cp = 321 m s−1 for the AW mode and are τ = 39.4 min, λh = 210 km,
km−1 and cp = 89 m s−1 for the GW mode.
Current usage metrics show cumulative count of Article Views (full-text article views including HTML views, PDF and ePub downloads, according to the available data) and Abstracts Views on Vision4Press platform.
Data correspond to usage on the plateform after 2015. The current usage metrics is available 48-96 hours after online publication and is updated daily on week days.
Initial download of the metrics may take a while.