Fig. 16

Download original image
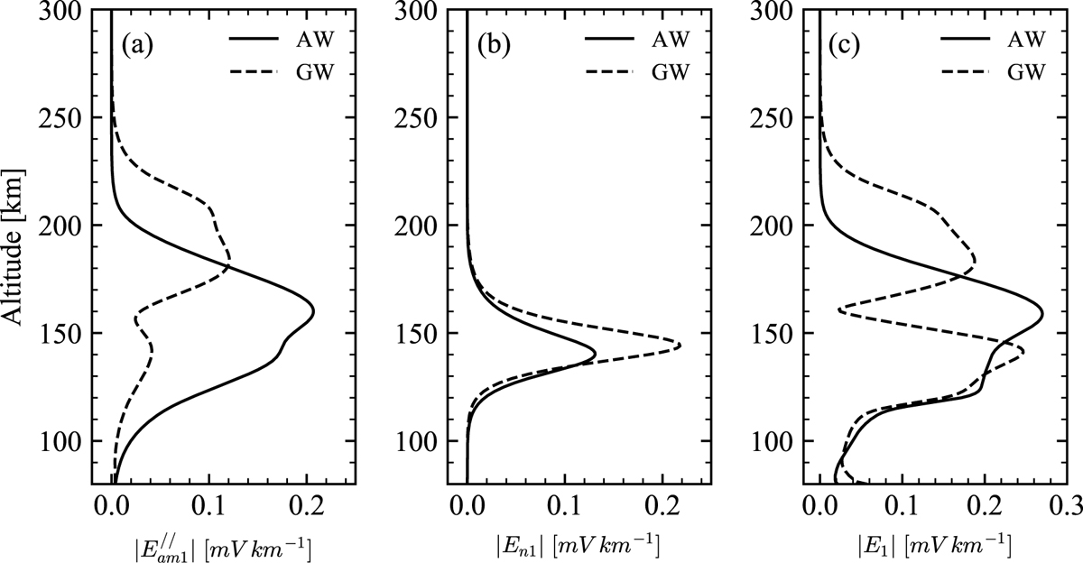
Altitude profiles of perturbed electric field magnitude, (a) Field-aligned ambipolar electric field, . (b) Neutral wind-driven polarization electric field, En1. (c) Total perturbed electric field, E1. Solid lines represent electric field driven by AW wave mode while dashed lines refer to electric field driven by GW wave mode. Input parameters are τ = 4.2 min, λh = 80 km,
km−1, and cp = 321 m s−1 for AW mode and are τ = 39.4 min, λh = 210 km,
km−1, and cp = 89 m s−1 for GW mode.
Current usage metrics show cumulative count of Article Views (full-text article views including HTML views, PDF and ePub downloads, according to the available data) and Abstracts Views on Vision4Press platform.
Data correspond to usage on the plateform after 2015. The current usage metrics is available 48-96 hours after online publication and is updated daily on week days.
Initial download of the metrics may take a while.