Fig. 25

Download original image
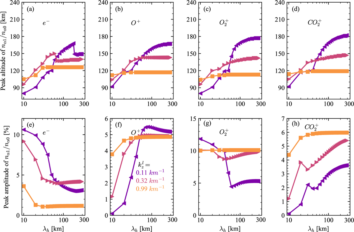
Distributions of peak altitude and peak amplitude of perturbed density ratio of electron, O+, , and
, driven by selected acoustic wave sets and displayed in panels a–d and panels e–h, respectively.
of the three selected acoustic wave sets, are 0.11, 0.32, and 0.99 km−1, respectively. Horizontal wavelengths of the selected wave modes range from 10 km to 300 km in intervals of 10 km. Maximum amplitude of perturbed neutral density ratio of the selected wave modes is fixed at 10%. Wave azimuth angle and dip angle of magnetic field are assumed to equal to 90° and 0°, respectively.
Current usage metrics show cumulative count of Article Views (full-text article views including HTML views, PDF and ePub downloads, according to the available data) and Abstracts Views on Vision4Press platform.
Data correspond to usage on the plateform after 2015. The current usage metrics is available 48-96 hours after online publication and is updated daily on week days.
Initial download of the metrics may take a while.