Fig. B.1

Download original image
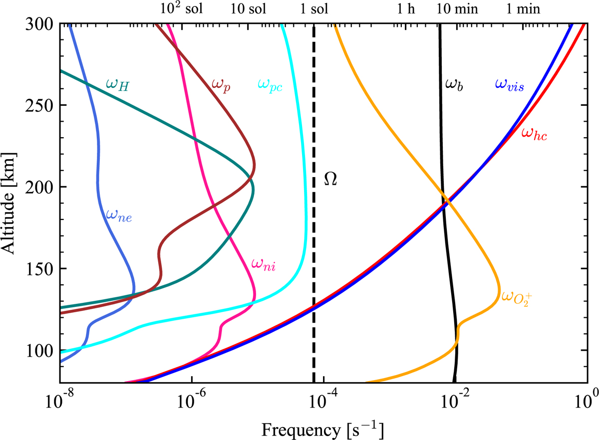
Altitude profiles of frequencies. ωb is Brunt-Väisälä frequency. Ω refers to planetary angular frequency. ωne and ωni denote characteristic neutral–electron and neutral–ion energetic exchange frequencies, respectively. ωpc refers to a characteristic photochemical heating frequency. ωp and ωH are characteristic damping frequency caused by Pedersen and Hall conductivity, respectively. is photochemical reaction frequency of
. ωυis and ωhc are wave dissipative frequencies associated with molecular viscosity and thermal conduction, respectively. “sol” represents on Martian day.
Current usage metrics show cumulative count of Article Views (full-text article views including HTML views, PDF and ePub downloads, according to the available data) and Abstracts Views on Vision4Press platform.
Data correspond to usage on the plateform after 2015. The current usage metrics is available 48-96 hours after online publication and is updated daily on week days.
Initial download of the metrics may take a while.