Open Access

Fig. 4

image

Download original image

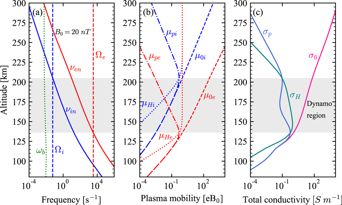
Profiles of plasma gyro-frequency and collisional frequency, plasma mobility, and conductivity of Mars over altitude ranges of 80–300 km. (a) Electron and ion gyro-frequency marked by Ωe and Ωi, respectively; νen refers to the electron-CO2 collisional frequency; νin denotes the O2+CO2${\rm{O}}_2^ + - {\rm{C}}{{\rm{O}}_2}$ collisional frequency; ωb is the Brunt-Väisälä frequency. (b) Profiles of the three components of the mobility tensor per unit charge of ions and electrons. The field-aligned (µ0i and µ0e), Pedersen (µpi and µpe), and Hall (µHi and µHe) mobilities are plotted in units of 1/eB0. (c) The profiles of the field-aligned, Pedersen, and Hall conductivities are marked by σ0, σp, and σH, respectively. The magnetic field magnitude, B0, is assumed to be 20 nT since the magnetic field of Mars is dominated by the draped interplanetary magnetic field outside of the strong crustal magnetic field region. The shaded region indicates the dynamo region, where Ωiνin and Ωeνen.

Current usage metrics show cumulative count of Article Views (full-text article views including HTML views, PDF and ePub downloads, according to the available data) and Abstracts Views on Vision4Press platform.

Data correspond to usage on the plateform after 2015. The current usage metrics is available 48-96 hours after online publication and is updated daily on week days.

Initial download of the metrics may take a while.