Fig. 8

Download original image
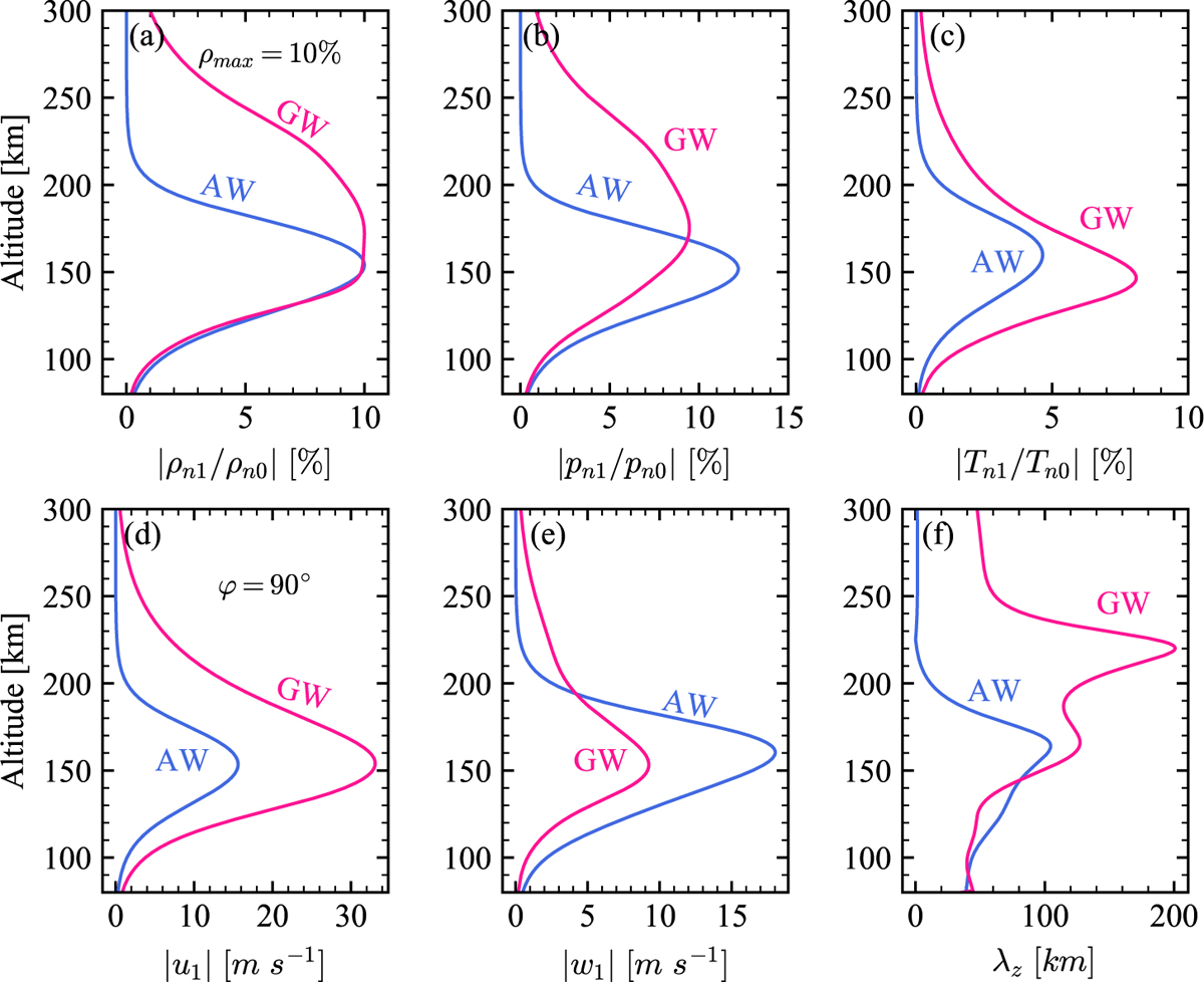
Altitude profiles of (a) neutral density ratio, (b) neutral pressure ratio, (c) neutral temperature ratio, (d) zonal speed, (e) vertical wind speed, and (f) vertical wind wavelength for AW and GW wave mode. The input parameters are τ = 4.2 min, λh = 80 km, km−1, and cp = 321 m s−1 for the AW mode and are τ = 39.4 min, λh = 210 km,
km−1, and cp = 89 m s−1 for the GW mode. The maximum amplitude of neutral density ratio, ρmax, is fixed at 10%. The wave azimuth angle, φ, is assumed to be 90° for both AW and GW wave modes.
Current usage metrics show cumulative count of Article Views (full-text article views including HTML views, PDF and ePub downloads, according to the available data) and Abstracts Views on Vision4Press platform.
Data correspond to usage on the plateform after 2015. The current usage metrics is available 48-96 hours after online publication and is updated daily on week days.
Initial download of the metrics may take a while.