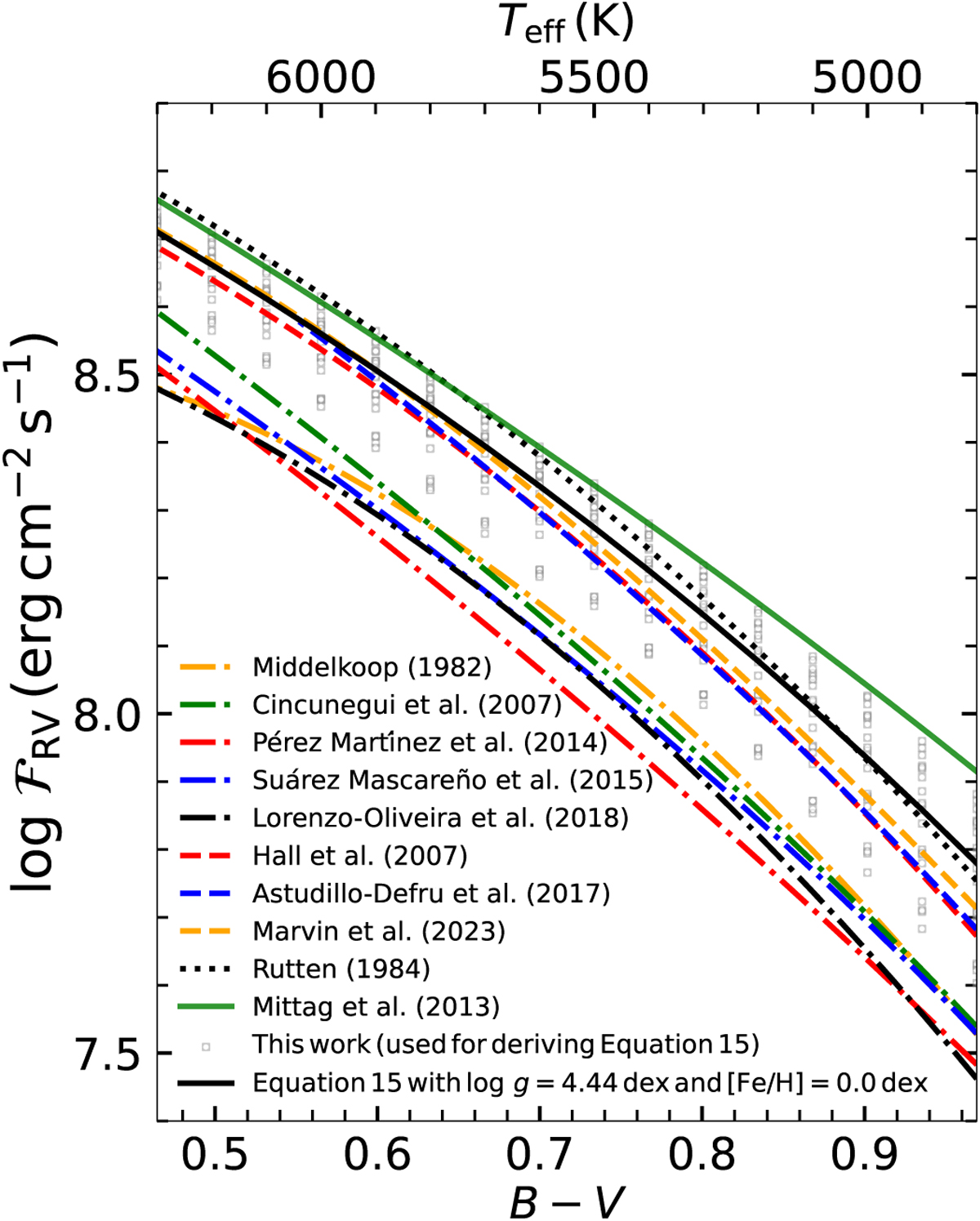
Fig. 5

Download original image
Relations between log RV and B − V (or Teff) adopted in different works. For the works using Ccf and K instead of
RV, the values of
RV are estimated by Eq. (11). The dashed-dotted, dashed, and dotted lines represent the results using K = 0.76 × 106, 1.07 × 106 and 1.29 × 106 erg cm2 s−1, respectively. The gray circles represent the
RV values estimated from the PHOENIX model used for deriving Eq. (15). The solid black line is derived from Eq. (15), with log g = 4.44 dex and [Fe/H] = 0.0 dex.
Current usage metrics show cumulative count of Article Views (full-text article views including HTML views, PDF and ePub downloads, according to the available data) and Abstracts Views on Vision4Press platform.
Data correspond to usage on the plateform after 2015. The current usage metrics is available 48-96 hours after online publication and is updated daily on week days.
Initial download of the metrics may take a while.