Open Access
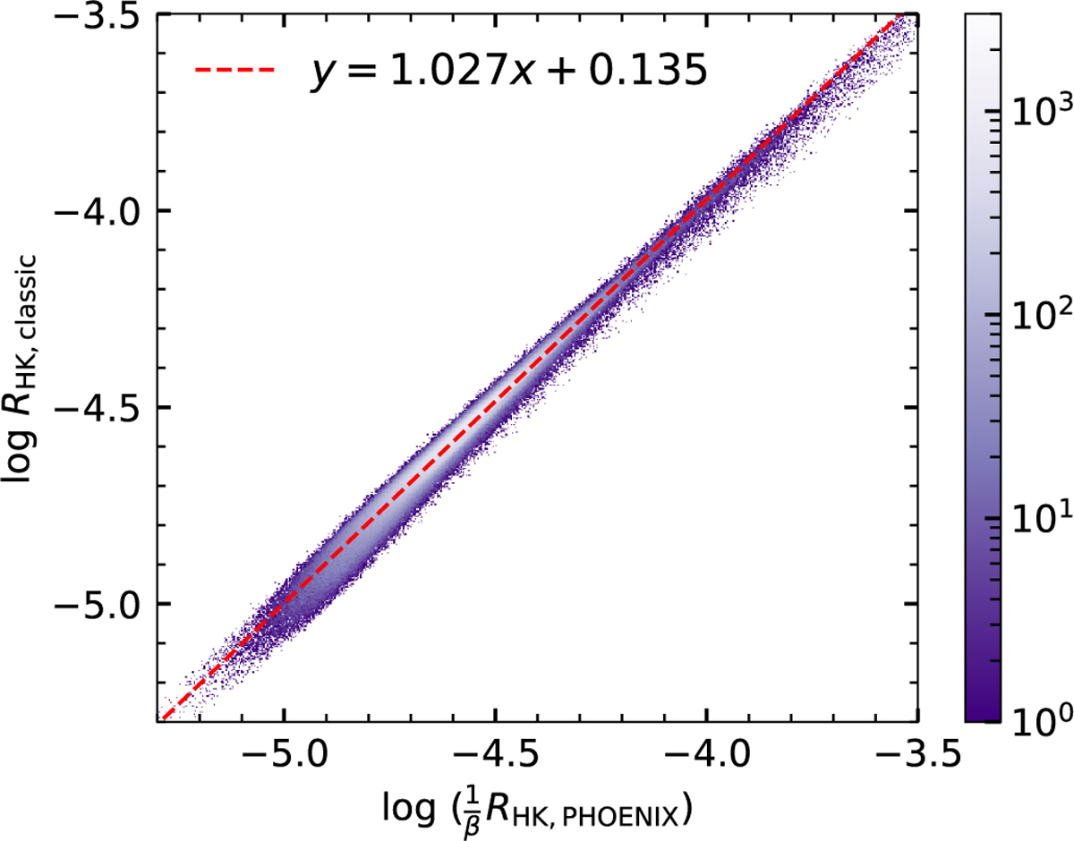
Fig. 6

Download original image
Scatter diagram between log and log RHK,classic for LAMOST LRS spectra of solar-like stars used in this work. The color scale indicates the density of data points. The dashed line represents the linear fit between log
and log RHK,classic.
Current usage metrics show cumulative count of Article Views (full-text article views including HTML views, PDF and ePub downloads, according to the available data) and Abstracts Views on Vision4Press platform.
Data correspond to usage on the plateform after 2015. The current usage metrics is available 48-96 hours after online publication and is updated daily on week days.
Initial download of the metrics may take a while.