Open Access
Fig. 8

Download original image
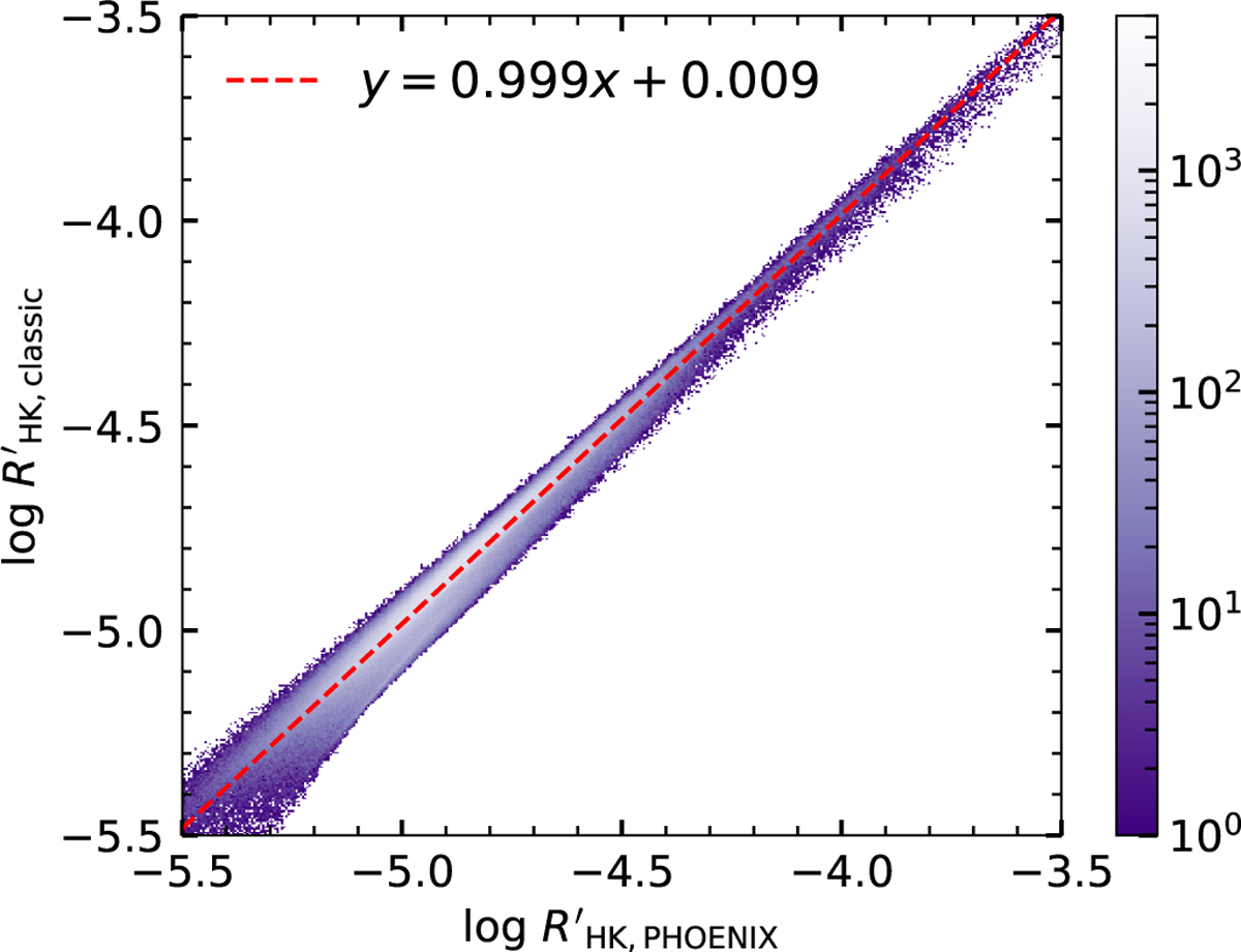
Scatter diagram between log R′HK,PHOENIX and log R′HK,classic for LAMOST LRS spectra of solar-like stars studied in this work. The color scale represents the density of data points. The dashed line is the linear fit between log R′HK,PHOENIX and log R′HK,classic.
Current usage metrics show cumulative count of Article Views (full-text article views including HTML views, PDF and ePub downloads, according to the available data) and Abstracts Views on Vision4Press platform.
Data correspond to usage on the plateform after 2015. The current usage metrics is available 48-96 hours after online publication and is updated daily on week days.
Initial download of the metrics may take a while.