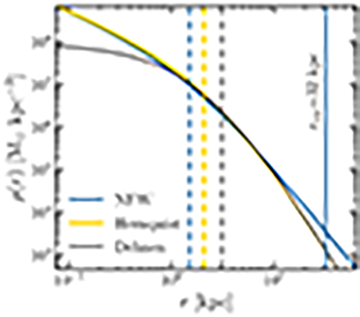
Fig. 3.

Download original image
Dark matter density distribution of NGC 5238 used in the simulations described via three different density models (different colors are associated to the three dark-matter models as indicated in the legend). The different models are linked via Eq. ((9), see text for details). The vertical dashed lines show the NFW, Hernquist and Dehnen scale radii using the same color coding, while the vertical blue solid line is the NFW virial radius.
Current usage metrics show cumulative count of Article Views (full-text article views including HTML views, PDF and ePub downloads, according to the available data) and Abstracts Views on Vision4Press platform.
Data correspond to usage on the plateform after 2015. The current usage metrics is available 48-96 hours after online publication and is updated daily on week days.
Initial download of the metrics may take a while.