Fig. 10

Download original image
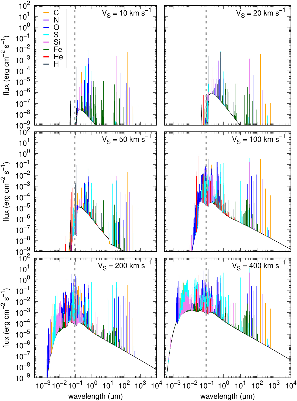
Energy flux, computed as , emitted toward the preshock at z = 0 as a function of the wavelength of the emitted photon. The black curve corresponds to the total continuum emission (including Bremsstrahlung, bound-free, and two-photon processes) and the colored spikes to line emissions. Spikes are colored according to the element responsible for the line emission regardless of its ionization state. Predictions are shown for shocks at different velocities, ranging from 10 km s−1 (top left panel) to 400 km s−1 (bottom right panel). All other parameters are set to their standard values (see Table 1). The dashed gray vertical line indicates the ionization threshold of hydrogen.
Current usage metrics show cumulative count of Article Views (full-text article views including HTML views, PDF and ePub downloads, according to the available data) and Abstracts Views on Vision4Press platform.
Data correspond to usage on the plateform after 2015. The current usage metrics is available 48-96 hours after online publication and is updated daily on week days.
Initial download of the metrics may take a while.