Open Access
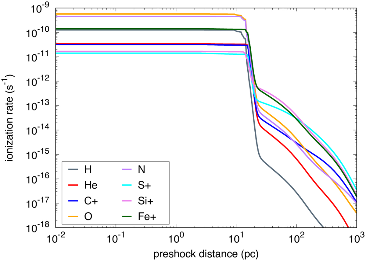
Fig. 13

Download original image
Ionization rates of H, He, C+, O, N, S+, Si+, and Fe+ induced by the standard shock in the preshock gas as functions of the preshock distance. These species are selected because they are the main carriers of the elements included in the model in the WNM.
Current usage metrics show cumulative count of Article Views (full-text article views including HTML views, PDF and ePub downloads, according to the available data) and Abstracts Views on Vision4Press platform.
Data correspond to usage on the plateform after 2015. The current usage metrics is available 48-96 hours after online publication and is updated daily on week days.
Initial download of the metrics may take a while.