Fig. B.1

Download original image
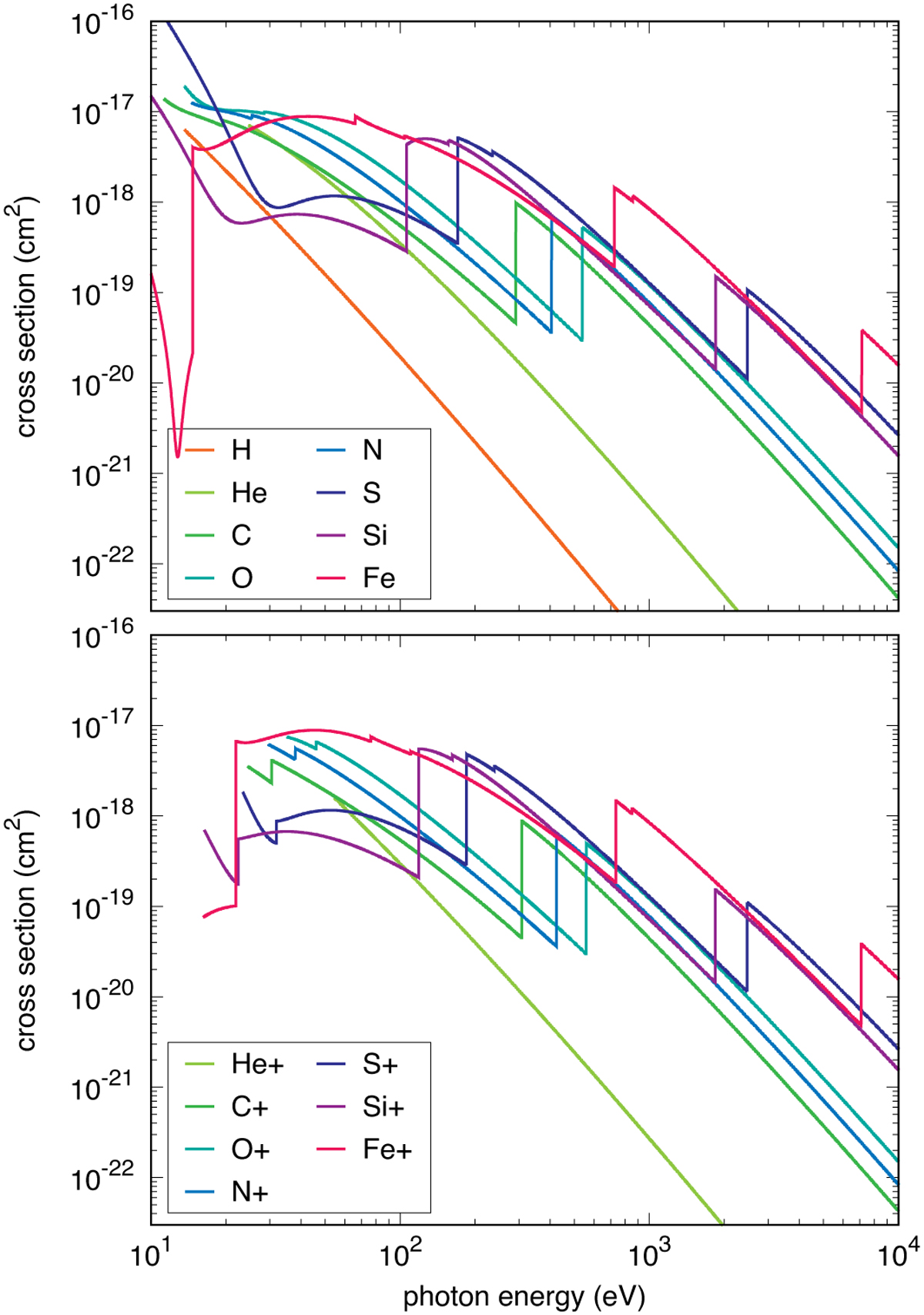
Photoionization cross sections of neutral atoms (top panel) and their first ionization stage (bottom panel) as functions of the photon energy, derived from the analytical formula of Verner & Yakovlev (1995) (Eq. 1 and Table 1 in their paper). The discontinuities are due to jumps of the cross sections when the photon energy becomes larger than the different thresholds required to extract an electron from internal subshells of the species.
Current usage metrics show cumulative count of Article Views (full-text article views including HTML views, PDF and ePub downloads, according to the available data) and Abstracts Views on Vision4Press platform.
Data correspond to usage on the plateform after 2015. The current usage metrics is available 48-96 hours after online publication and is updated daily on week days.
Initial download of the metrics may take a while.