Fig. 2

Download original image
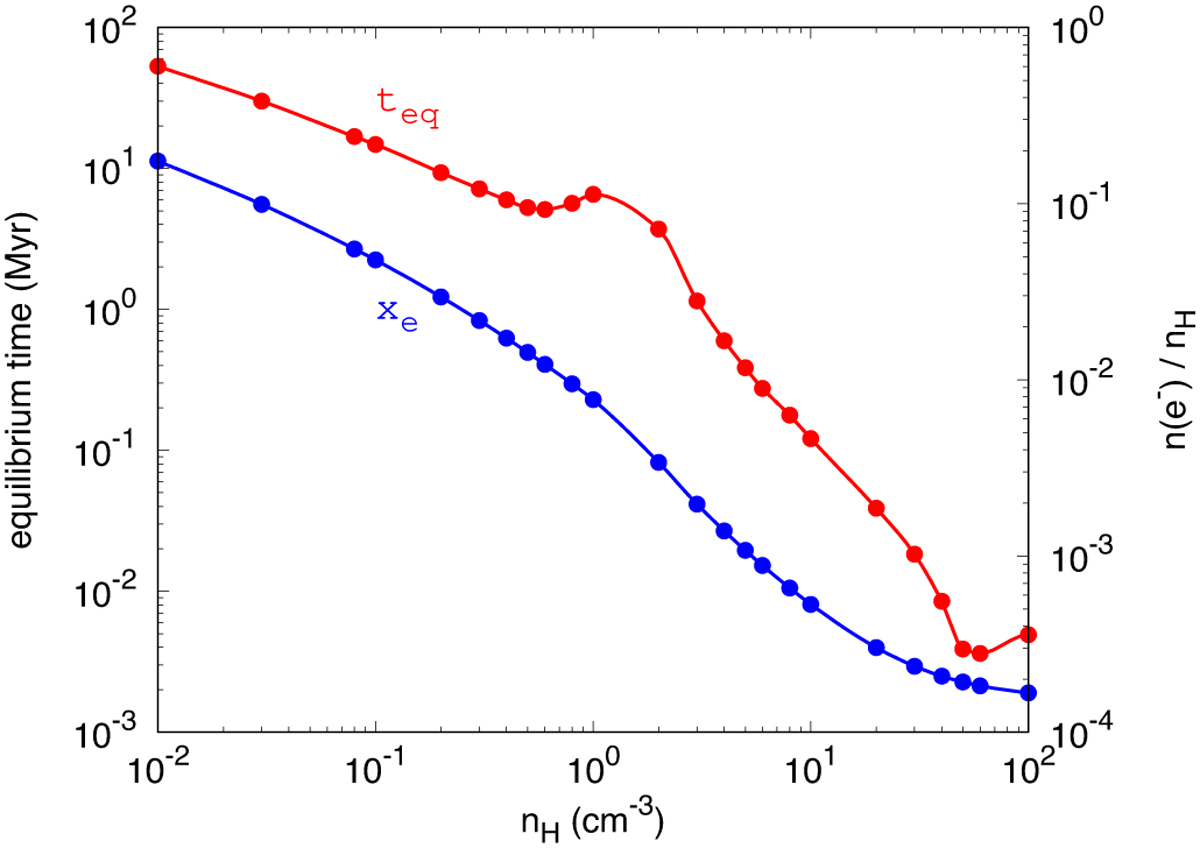
Timescale required to reach the ionization, thermal, and chemical equilibrium states in the diffuse medium as a function of the proton density nH (red curve), and corresponding equilibrium values of the ionization fraction, xe = n(e−)/nH (blue curve). The equilibrium timescale is estimated as the time at which the kinetic temperature, the electronic fraction, and the chemical abundances of all species are within 10% of their equilibrium values, starting from random initial conditions.
Current usage metrics show cumulative count of Article Views (full-text article views including HTML views, PDF and ePub downloads, according to the available data) and Abstracts Views on Vision4Press platform.
Data correspond to usage on the plateform after 2015. The current usage metrics is available 48-96 hours after online publication and is updated daily on week days.
Initial download of the metrics may take a while.