Fig. 4

Download original image
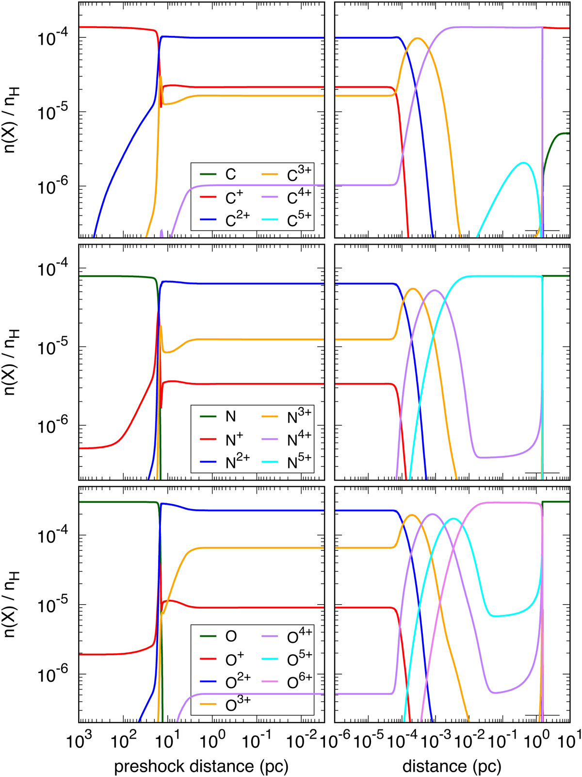
Production of multi-ionized species in the standard model. Abundances profiles of carbon-bearing species (top panels), nitrogen-bearing species (middle panels), and oxygen-bearing species (bottom panels) as functions of the distance in the preshock (left panels) and in the shock (right panels). The high ionization stages of carbon, nitrogen, and oxygen (C6+, N6+, N7+, O7+, and O8+) are not included because their relative abundances are all below the lowest value shown in this figure.
Current usage metrics show cumulative count of Article Views (full-text article views including HTML views, PDF and ePub downloads, according to the available data) and Abstracts Views on Vision4Press platform.
Data correspond to usage on the plateform after 2015. The current usage metrics is available 48-96 hours after online publication and is updated daily on week days.
Initial download of the metrics may take a while.