Fig. 7

Download original image
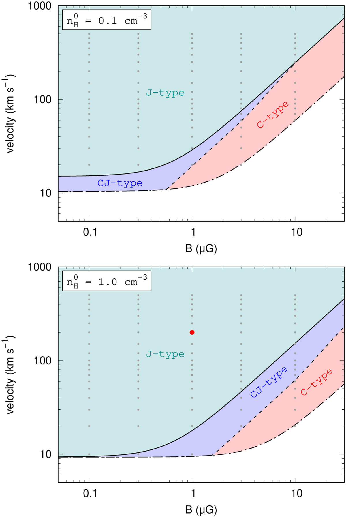
Critical velocities of interstellar shocks for = 0.1 cm−3 (top panel) and 1 cm−3 (bottom panel). The solid and dash-dotted lines show the magnetosonic speed computed in the ionized fluid (Eq. (19)) and the neutral fluid (Eq. (18)), respectively. The colored areas highlight the range of velocities over which stationary shocks are C-type (red), CJ-type (blue), and J-type (green) shocks. The transition between C-type and CJ-type shocks (dashed line) is estimated as the point where the maximum postshock thermal pressure is equal to the maximum magnetic pressure allowed by an adiabatic compression. The gray points indicate the values of the shock velocity and transverse magnetic field strength explored in the grid of models. The red dot highlights the position of the standard model.
Current usage metrics show cumulative count of Article Views (full-text article views including HTML views, PDF and ePub downloads, according to the available data) and Abstracts Views on Vision4Press platform.
Data correspond to usage on the plateform after 2015. The current usage metrics is available 48-96 hours after online publication and is updated daily on week days.
Initial download of the metrics may take a while.