Fig. 19

Download original image
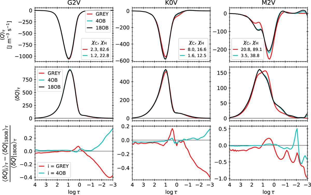
Mean stratification 〈Q〉τ (top row) and fluctuations 〈δQ〉τ (middle row) of the radiative energy exchange rate averaged over surfaces of the constant Rosseland optical depth and time of the G2V (left column), K0V (middle), and M2V (right) stars. The black, blue, and red curves in the top and middle row corresponds to the results computed from the simulations run using the 18OB, 4OB, and grey opacity setups, respectively. The deviation measures χC and χH are shown in the legend at the panels of the top row. Bottom row: relative difference of 〈δQ〉τ computed with 4OB (blue curve), and grey (red) compared to 〈δQ〉τ obtained using 18OB. The fluctuations shown in the middle row are computed as the standard deviation of Q.
Current usage metrics show cumulative count of Article Views (full-text article views including HTML views, PDF and ePub downloads, according to the available data) and Abstracts Views on Vision4Press platform.
Data correspond to usage on the plateform after 2015. The current usage metrics is available 48-96 hours after online publication and is updated daily on week days.
Initial download of the metrics may take a while.