Fig. 2

Download original image
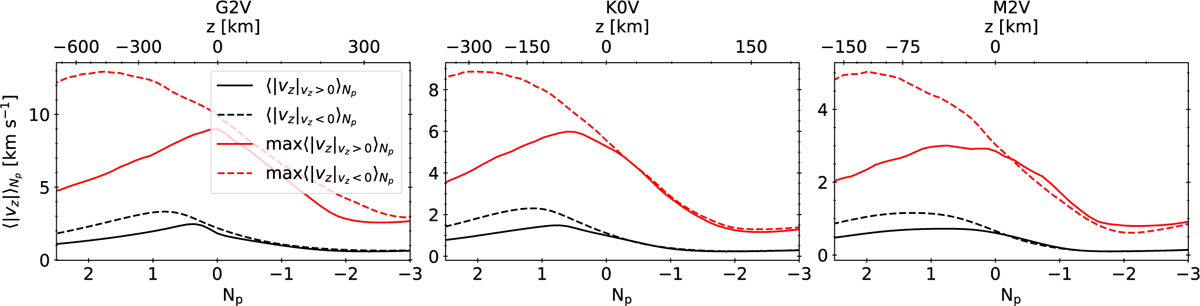
Mean (black) and maximum (red) vertical velocity of upflows (solid line) and downflows (dashed) averaged over surfaces of the constant number of pressure scale heights Np and time for the three stellar simulations (G2V is in the left panel, K0V is in the middle, and M2V is in the right) versus Np. The top axis of each panel shows the geometrical height.
Current usage metrics show cumulative count of Article Views (full-text article views including HTML views, PDF and ePub downloads, according to the available data) and Abstracts Views on Vision4Press platform.
Data correspond to usage on the plateform after 2015. The current usage metrics is available 48-96 hours after online publication and is updated daily on week days.
Initial download of the metrics may take a while.