Fig. 12.

Download original image
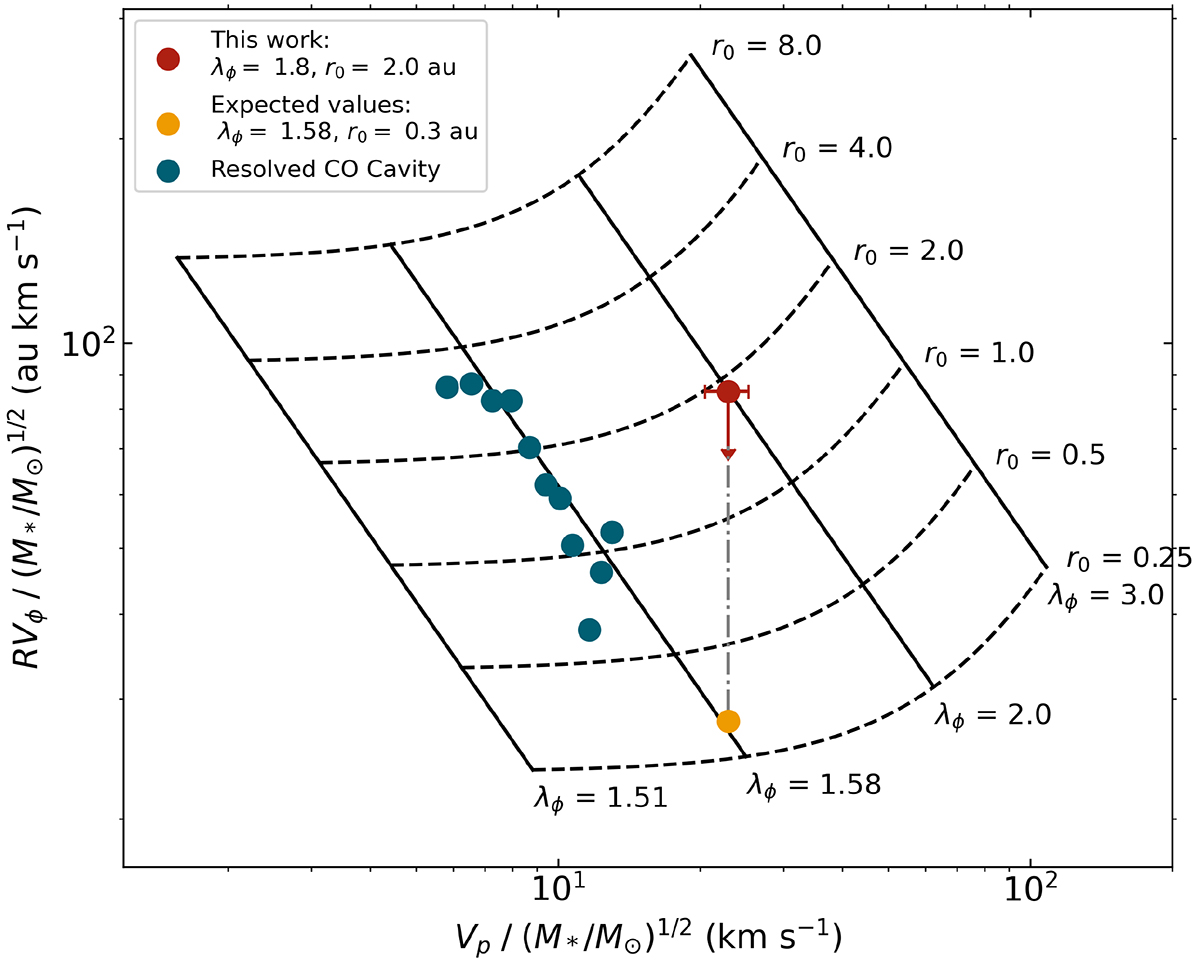
Relation between the poloidal velocity Vp and the specific angular momentum J = RVϕ defining the parameter domain (r0, λϕ) in the case of an MHD disk wind, based on Ferreira et al. (2006). The values obtained by DV22 for the resolved CO redshifted cavity are shown in blue. The red dot is associated with the values of Vp and the upper limit on J estimated by the kinematics study of the H2 redshifted cavity. The yellow point is obtained by considering a constant value of λϕ between the CO and H2 cavities.
Current usage metrics show cumulative count of Article Views (full-text article views including HTML views, PDF and ePub downloads, according to the available data) and Abstracts Views on Vision4Press platform.
Data correspond to usage on the plateform after 2015. The current usage metrics is available 48-96 hours after online publication and is updated daily on week days.
Initial download of the metrics may take a while.