Open Access
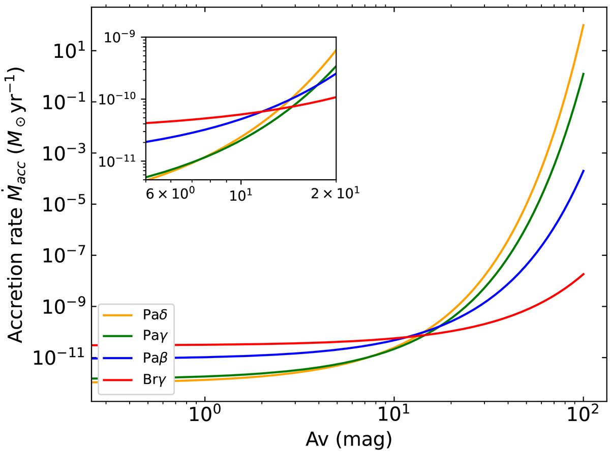
Fig. D.1.

Download original image
Accretion rate Ṁacc as a function of extinction AV reproducing the observed fluxes of the atomic transitions HI Paδ, Paγ, Paβ and Brγ. The curves are derived from the empirical relations between Lacc and LHI of Alcalá et al. (2017). The intersection of the four curves gives the best estimate of Ṁacc and AV towards DG Tau B.
Current usage metrics show cumulative count of Article Views (full-text article views including HTML views, PDF and ePub downloads, according to the available data) and Abstracts Views on Vision4Press platform.
Data correspond to usage on the plateform after 2015. The current usage metrics is available 48-96 hours after online publication and is updated daily on week days.
Initial download of the metrics may take a while.