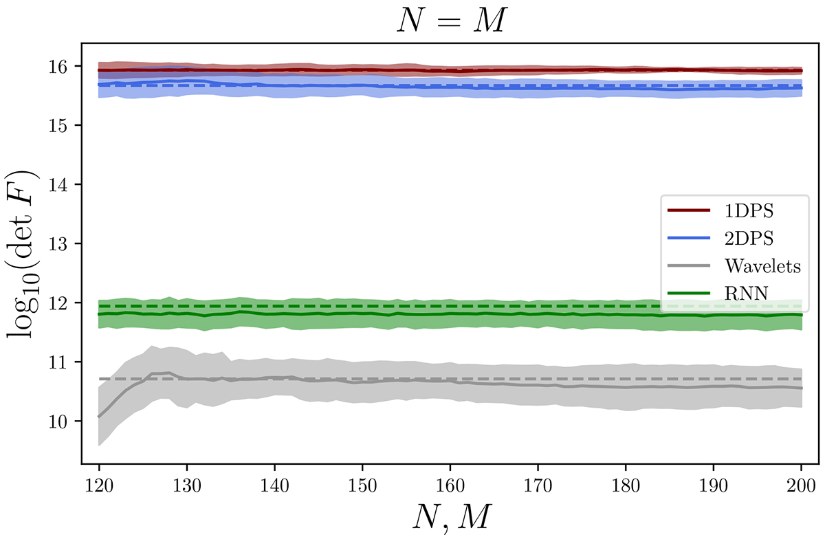
Fig. D.1.

Download original image
Convergence test of the Fisher information at the fiducial parameter combination, θfid, as a function of N = M. The solid lines (shaded regions) correspond to the means (standard deviations) computed over five random realizations of summaries at θfid. These can be compared to the dashed lines, which show the mean computed over the entire set of 1024 realizations.
Current usage metrics show cumulative count of Article Views (full-text article views including HTML views, PDF and ePub downloads, according to the available data) and Abstracts Views on Vision4Press platform.
Data correspond to usage on the plateform after 2015. The current usage metrics is available 48-96 hours after online publication and is updated daily on week days.
Initial download of the metrics may take a while.