Fig. 7.

Download original image
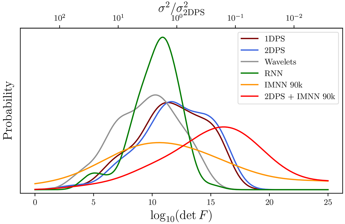
Distribution of the Fisher information (detF) across the prior volume, for all summaries considered in this work. For the IMNN summary, we used the weights that give the highest median value (corresponding to 90k epochs; see Fig. 6). On the top axis we denote the corresponding relative improvement in the single parameter variance (Eq. (26)), normalized to its median value of the 2DPS summary. The 2DPS has the largest median value of all of the individual summaries, while the combination of the 2DPS + IMNN dramatically outperforms every individual summary. See Table 1 for quantitative values.
Current usage metrics show cumulative count of Article Views (full-text article views including HTML views, PDF and ePub downloads, according to the available data) and Abstracts Views on Vision4Press platform.
Data correspond to usage on the plateform after 2015. The current usage metrics is available 48-96 hours after online publication and is updated daily on week days.
Initial download of the metrics may take a while.