Fig. 8.

Download original image
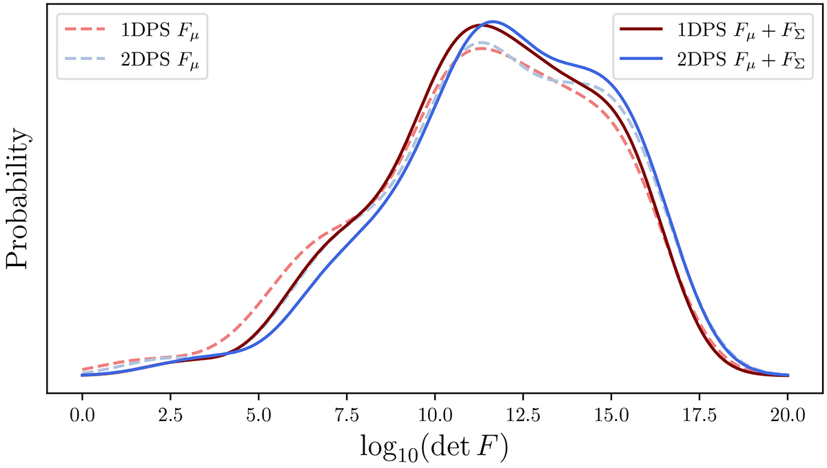
Distributions of Fisher information for the 1DPS (red) and 2DPS (blue). Solid lines account for both terms in the Fisher matrix (cf. Eq. (4)), while the dashed lines correspond to the common simplification of a constant covariance (i.e., including only the first term in Eq. (4)). The assumption of a constant covariance underpredicts the Fisher information by a factor of ∼2. For a 5-parameter model, this translates to a ∼15% larger single parameter variance (Eq. (26)).
Current usage metrics show cumulative count of Article Views (full-text article views including HTML views, PDF and ePub downloads, according to the available data) and Abstracts Views on Vision4Press platform.
Data correspond to usage on the plateform after 2015. The current usage metrics is available 48-96 hours after online publication and is updated daily on week days.
Initial download of the metrics may take a while.