Fig. 1.

Download original image
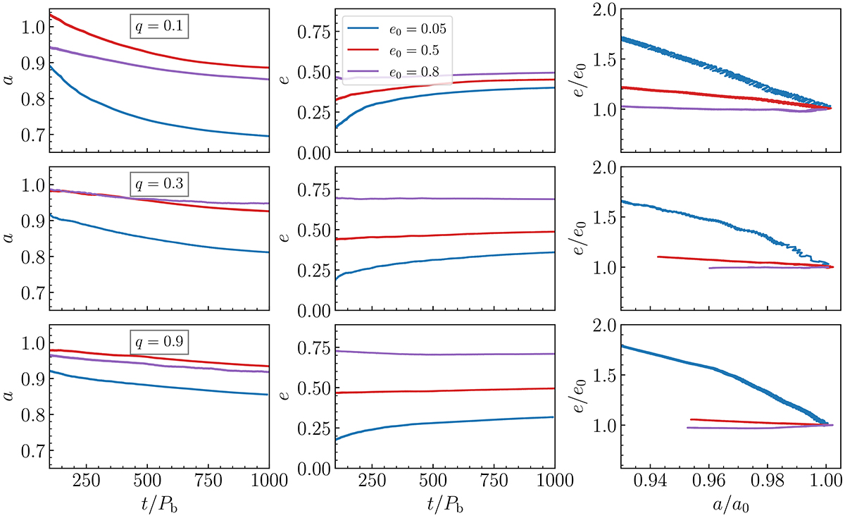
Evolution of binary semi-major axis and eccentricity for initial mass ratio q = 0.1 (upper panels), q = 0.3 (middle panels), and q = 0.9 (bottom panels). The blue, red, and purple lines show the simulations with e0 = 0.05, 0.5, and 0.8 respectively. We note that we do not show the transient phase occurring within the first 100 orbits here. Therefore, e0 and a0 in the last column are the values of eccentricity and semi-major axis after 100 orbits.
Current usage metrics show cumulative count of Article Views (full-text article views including HTML views, PDF and ePub downloads, according to the available data) and Abstracts Views on Vision4Press platform.
Data correspond to usage on the plateform after 2015. The current usage metrics is available 48-96 hours after online publication and is updated daily on week days.
Initial download of the metrics may take a while.