Fig. B.2.

Download original image
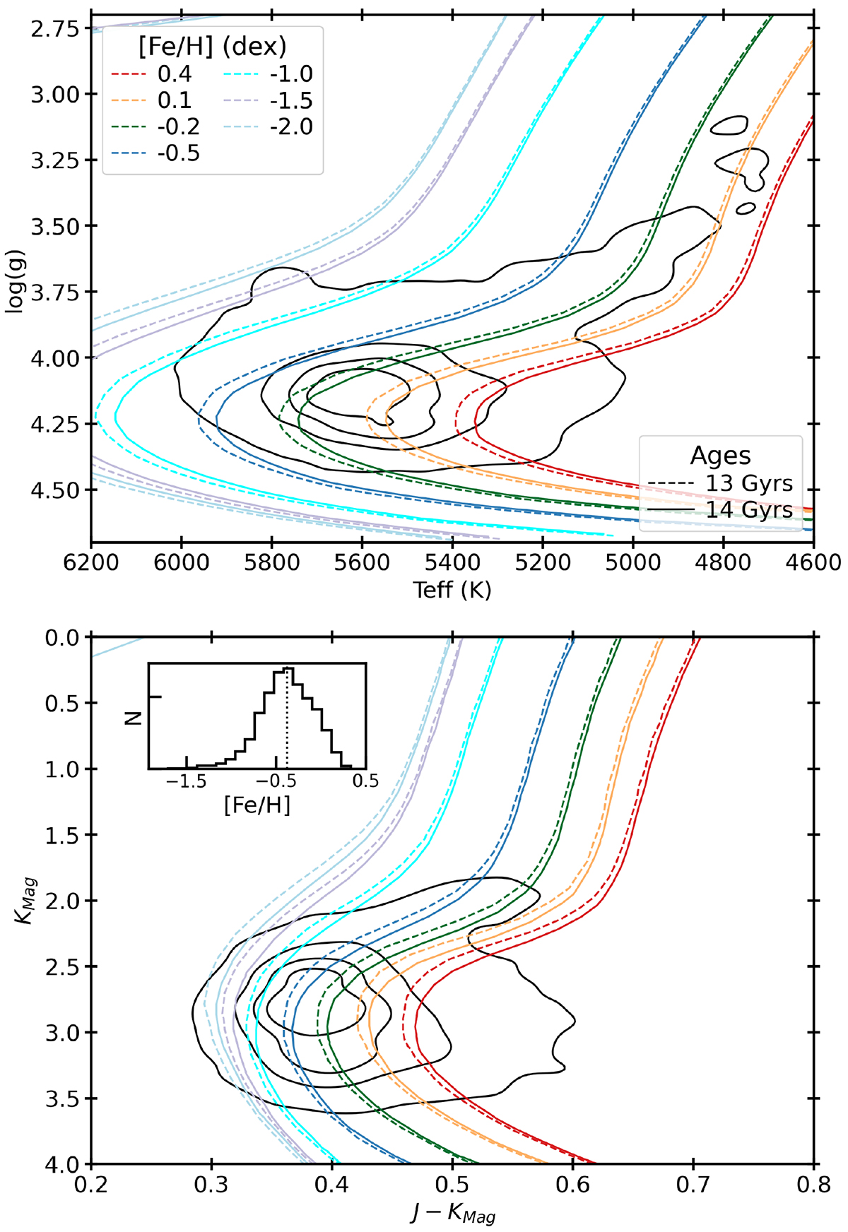
Kiel diagram and CMD for the 8 078 stars of the age bin (13 < Age (Gyr) < 14). For illustrative purposes, PARSEC stellar isochrones, for ages of 13 and 14 Gyr and [Fe/H]from -2.0 to 0.4 dex are included. The CMD uses JHKs absolute magnitudes from 2MASS, which were used as inputs for StarHorse to estimate ages. The contour levels represent 25%, 50%, 75%, and 100% of the distribution. In the bottom panel, the inset shows the MDF of the sample. The dotted line at [Fe/H] = −0.38 represents the median [Fe/H].
Current usage metrics show cumulative count of Article Views (full-text article views including HTML views, PDF and ePub downloads, according to the available data) and Abstracts Views on Vision4Press platform.
Data correspond to usage on the plateform after 2015. The current usage metrics is available 48-96 hours after online publication and is updated daily on week days.
Initial download of the metrics may take a while.