Fig. 5.

Download original image
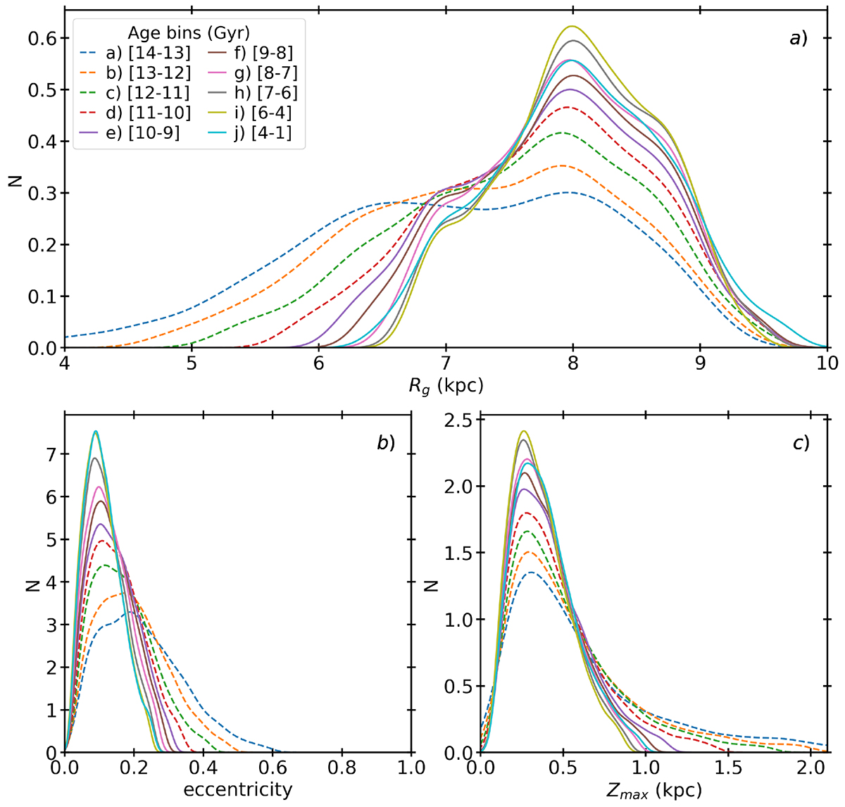
Orbital properties of the age sample stars in bins of stellar age. (a) Distribution of guiding radius (Rg) in age bins represented by the colours shown in the legend. (b) Distribution of the orbital eccentricities. (c) Distribution of the maximum excursion from the Galactic plane (i.e. Zmax). Dashed lines represent the four oldest age bins.
Current usage metrics show cumulative count of Article Views (full-text article views including HTML views, PDF and ePub downloads, according to the available data) and Abstracts Views on Vision4Press platform.
Data correspond to usage on the plateform after 2015. The current usage metrics is available 48-96 hours after online publication and is updated daily on week days.
Initial download of the metrics may take a while.