Fig. 1

Download original image
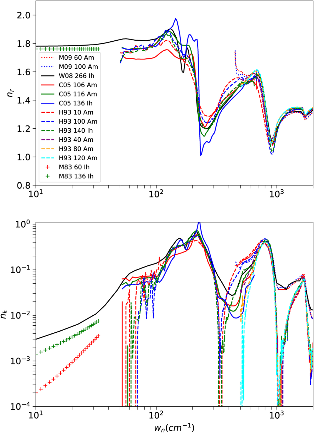
Complex refractive index of water ice, either crystalline (Ih) or amorphous (Am), as proposed by various authors at different temperatures. (top) Real part nr and (bottom) imaginary part nk. Legends correspond to authors T (K) ice phase with authors C05 (Curtis et al. 2005), M83 (Mishima et al. 1983), H93 (Hudgins et al. 1993), M09 (Mastrapa et al. 2009), and W08 (Warren & Brandt 2008).
Current usage metrics show cumulative count of Article Views (full-text article views including HTML views, PDF and ePub downloads, according to the available data) and Abstracts Views on Vision4Press platform.
Data correspond to usage on the plateform after 2015. The current usage metrics is available 48-96 hours after online publication and is updated daily on week days.
Initial download of the metrics may take a while.