Fig. 10

Download original image
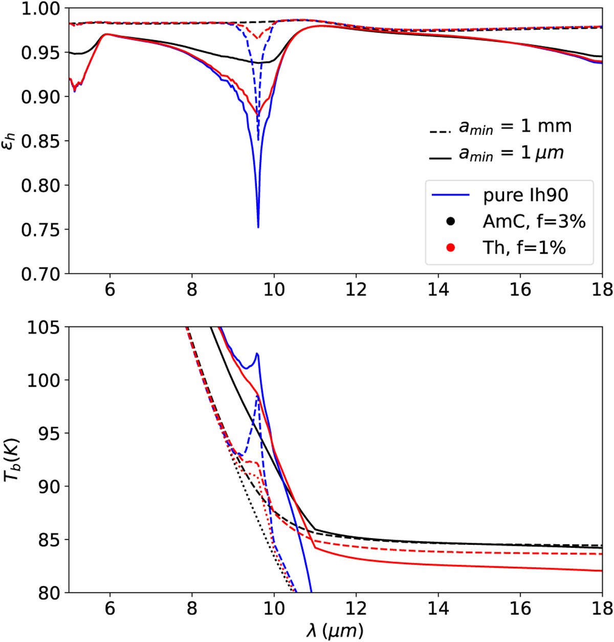
Model of the mid-infrared brightness of the optically thick B ring of Saturn. (top) Hemispherical emissivity of a regolith of grains following a power-law size distribution with p = 2.8, amax= 5 cm, and amin=1 µm (solid line) or amin=1 mm (dashed line). Water ice is crystalline (Ih90), and contaminants (AmC or Th) are intra-mixed with a fraction ƒ. The esa diffraction correction is used here and ξ = 0. (bottom) Corresponding modelled brightness temperatures Tb(K) of these regoliths on particles. The solar contribution is plotted for both contaminants in the case of amin=1 mm (dotted line).
Current usage metrics show cumulative count of Article Views (full-text article views including HTML views, PDF and ePub downloads, according to the available data) and Abstracts Views on Vision4Press platform.
Data correspond to usage on the plateform after 2015. The current usage metrics is available 48-96 hours after online publication and is updated daily on week days.
Initial download of the metrics may take a while.