Fig. 2

Download original image
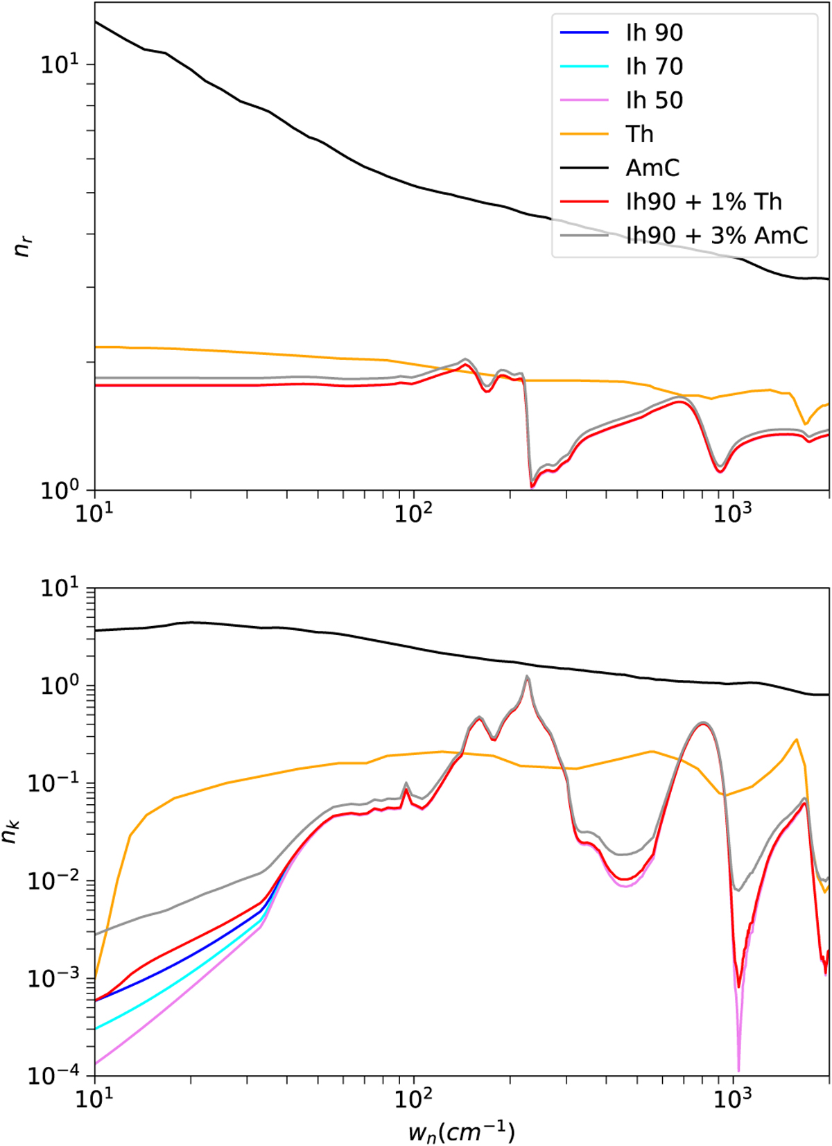
Complex refractive index of Ih water ice and contaminants. (top) Real part nr and (bottom) imaginary part nk of the Ih. Ih T0 point to the refractive index of Ih water ice at temperature T0 (see text). The optical constants (nr, nk) for an intra-particle mixture of Ih 90 ice with AmC (Preibisch et al. 1993) or Th (Khare et al. 1984) at 3% and 1% levels respectively are also plotted.
Current usage metrics show cumulative count of Article Views (full-text article views including HTML views, PDF and ePub downloads, according to the available data) and Abstracts Views on Vision4Press platform.
Data correspond to usage on the plateform after 2015. The current usage metrics is available 48-96 hours after online publication and is updated daily on week days.
Initial download of the metrics may take a while.