Open Access
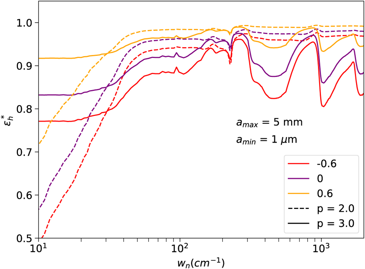
Fig. 6

Download original image
Hemispherical emissivity as a function of average asymmetry factor ξ for a size distribution of gains with amin = 1 µm , amax = 5 mm, and p=2 (dashed line) or p=3 (solid line). The grain composition is water ice Ih90 with intra-mixing of 5% AmC. esa diffraction correction is used.
Current usage metrics show cumulative count of Article Views (full-text article views including HTML views, PDF and ePub downloads, according to the available data) and Abstracts Views on Vision4Press platform.
Data correspond to usage on the plateform after 2015. The current usage metrics is available 48-96 hours after online publication and is updated daily on week days.
Initial download of the metrics may take a while.