Fig. 9

Download original image
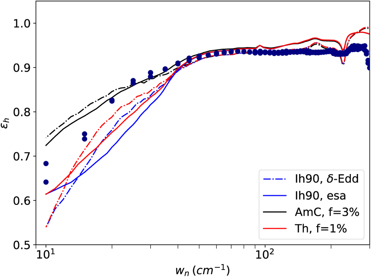
Modelled hemispherical emissivity εh of a regolith of grains following a power-law size distribution with p = 2.8, amax = 5 cm, and amin = 1 µm. Water ice is crystalline (Ih90) and contaminants are AmC or Th, intra-mixed with fraction f. Two estimates of the emissivity εF of the unlit B ring with the CIRS instrument on April 5, 2017, are displayed (blue dots, see text for details). Both esa (solid line) and δ-Edd (dash-dotted line) diffraction corrections are shown, assuming ξ = 0.
Current usage metrics show cumulative count of Article Views (full-text article views including HTML views, PDF and ePub downloads, according to the available data) and Abstracts Views on Vision4Press platform.
Data correspond to usage on the plateform after 2015. The current usage metrics is available 48-96 hours after online publication and is updated daily on week days.
Initial download of the metrics may take a while.