Fig. 1.

Download original image
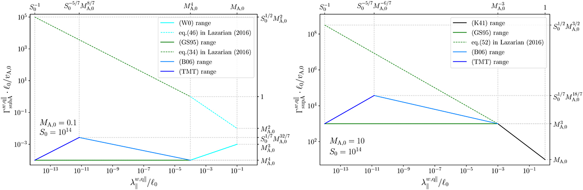
Normalized turbulent damping rate for quasi-parallel AW packets with normalized parallel wavelength
, in a background plasma with Lunquist number S0 = 1014 and different turbulent regimes (see Appendix A). Solid lines represent damping rates derived in this work (equations (11), (13), (14), and (16)), while dashed lines report the damping rates in Lazarian (2016) for reference. General expressions for transition scales and damping-rate values are reported on the right and upper axes. Left: damping rates in sub-Alfvénic turbulence (MA, 0 = 0.1). Right: damping rates in super-Alfvénic turbulence (MA, 0 = 10).
Current usage metrics show cumulative count of Article Views (full-text article views including HTML views, PDF and ePub downloads, according to the available data) and Abstracts Views on Vision4Press platform.
Data correspond to usage on the plateform after 2015. The current usage metrics is available 48-96 hours after online publication and is updated daily on week days.
Initial download of the metrics may take a while.