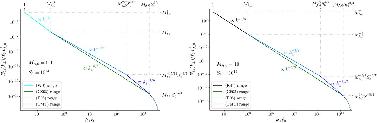
Fig. A.1.

Download original image
Normalized reduced spectrum, , vs. fluctuation perpendicular wave-vector, k⊥ℓ0, in a plasma with Lunquist number S0 = 1014 and sub-Alfvénic (MA, 0 = 0.1, left) or super-Aflvénic (MA, 0 = 10, right) injection regimes. The different colors represent different cascading regimes (see legend), and general expressions for transition scales and fluctuation power level are reported on the right and upper axis. The solid lines show ideal scaling from (A.34), (A.36), (A.38), and (A.40) for the nominal range
, while the dashed lines represent their extension in the dissipation range with a damping factor
.
Current usage metrics show cumulative count of Article Views (full-text article views including HTML views, PDF and ePub downloads, according to the available data) and Abstracts Views on Vision4Press platform.
Data correspond to usage on the plateform after 2015. The current usage metrics is available 48-96 hours after online publication and is updated daily on week days.
Initial download of the metrics may take a while.