Open Access
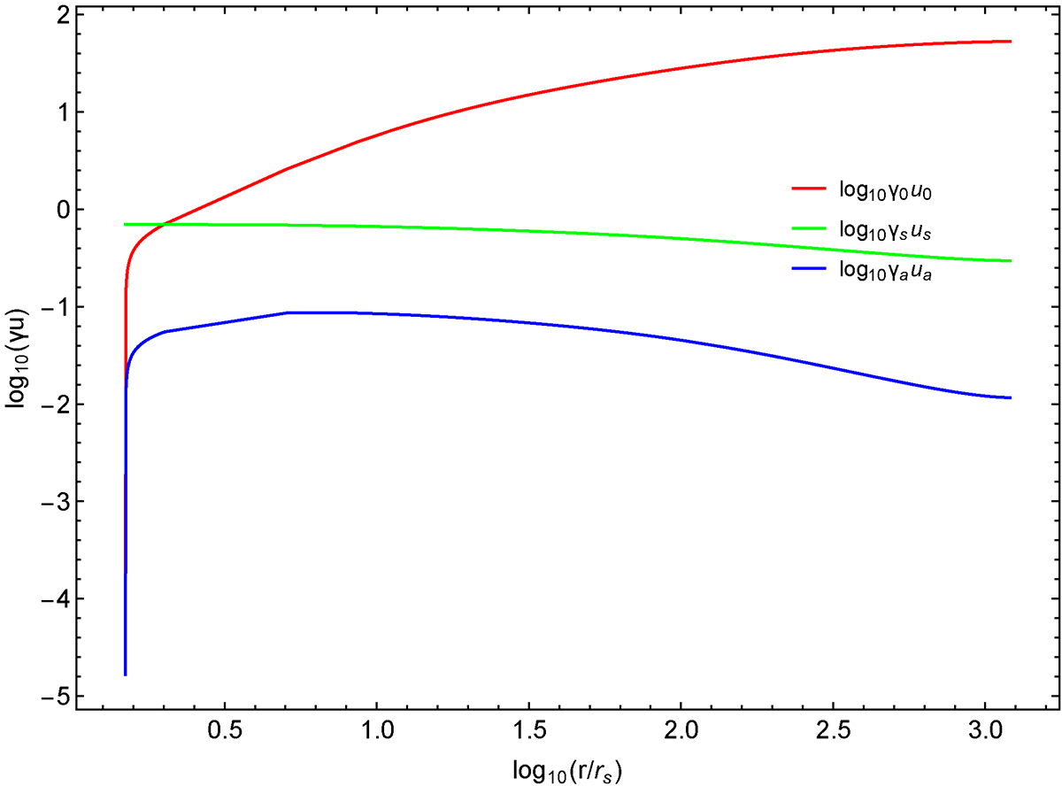
Fig. 1.

Download original image
Velocity of the flow, γ0u0, in red, the sound speed, γsus, in green, and the Alfvén speed, γaua, in blue color, on a logarithmic scale. The stagnation surface is close to the black hole and the critical point crossing is at a distance of two Schwarzschild radii, r = 2rs.
Current usage metrics show cumulative count of Article Views (full-text article views including HTML views, PDF and ePub downloads, according to the available data) and Abstracts Views on Vision4Press platform.
Data correspond to usage on the plateform after 2015. The current usage metrics is available 48-96 hours after online publication and is updated daily on week days.
Initial download of the metrics may take a while.