Fig. 9.

Download original image
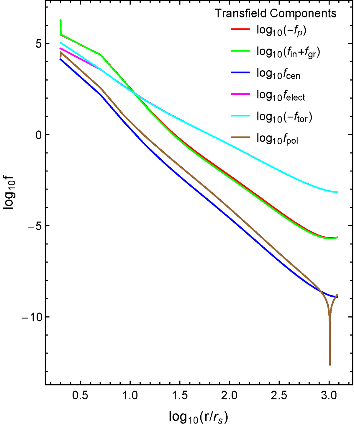
Transfield components of force densities on a logarithmic scale. ftor and felect represent the forces of the toroidal magnetic field and the electric field, respectively. The contribution of the inertia plus the gravitational force (fin+fgr) as well as the gradient of pressure, fp, play a significant role closer to the event horizon. The poloidal and centrifugal components, fpol and fcen, respectively, do not play a significant role.
Current usage metrics show cumulative count of Article Views (full-text article views including HTML views, PDF and ePub downloads, according to the available data) and Abstracts Views on Vision4Press platform.
Data correspond to usage on the plateform after 2015. The current usage metrics is available 48-96 hours after online publication and is updated daily on week days.
Initial download of the metrics may take a while.