Open Access
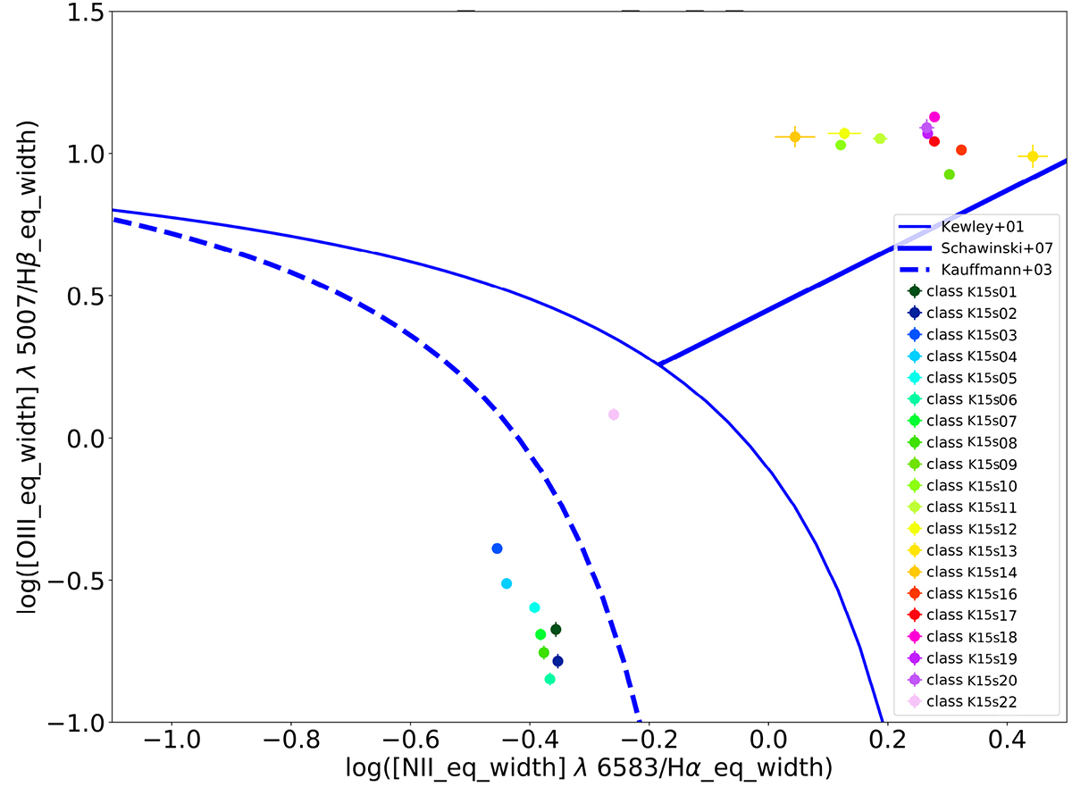
Fig. 14.

Download original image
BPT diagram of NGC 1068 subclassification of class 15 with aligned spectra. Subclasses K15s15 and K15s21 are absent because ALFA had difficulties deblending the [N II] at 6583 Å but they are safely classified as AGN in OI BPT. The error bars are the same as in Fig. 2.
Current usage metrics show cumulative count of Article Views (full-text article views including HTML views, PDF and ePub downloads, according to the available data) and Abstracts Views on Vision4Press platform.
Data correspond to usage on the plateform after 2015. The current usage metrics is available 48-96 hours after online publication and is updated daily on week days.
Initial download of the metrics may take a while.