Fig. 5.

Download original image
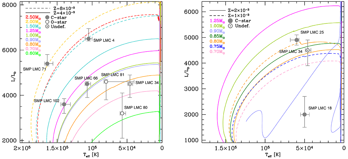
Evolutionary tracks calculated with the stellar evolution code ATON (Ventura et al. 1998) for different masses (different colors), expressed at the beginning of the AGB phase. The solid tracks are the Z = 4 × 10−3 (left panel) and Z = 2 × 10−3 (right panel) and the dashed lines the Z = 8 × 10−3 (left panel) and Z = 1 × 10−3 (right panel). The gray circles are the PN sample, with the luminosities and the effective temperatures derived in the present paper. Full and open symbols refer to C/O ratios greater and lower than unity, respectively. Due to the large oxygen error bar, the C/O of SMP LMC 34 is undefined.
Current usage metrics show cumulative count of Article Views (full-text article views including HTML views, PDF and ePub downloads, according to the available data) and Abstracts Views on Vision4Press platform.
Data correspond to usage on the plateform after 2015. The current usage metrics is available 48-96 hours after online publication and is updated daily on week days.
Initial download of the metrics may take a while.