Open Access
Fig. 1

Download original image
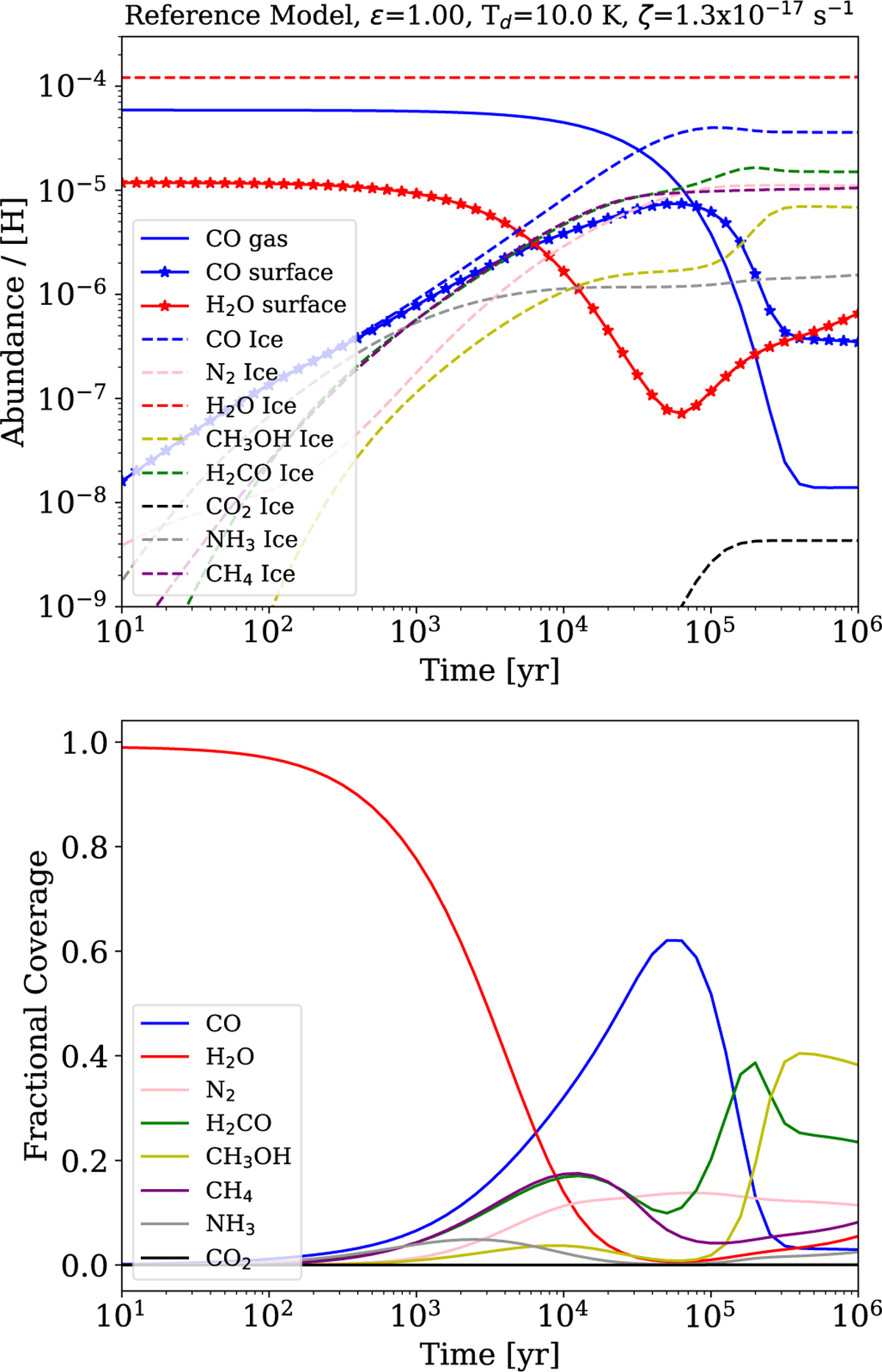
Reference model. Top: evolution of the abundances of main ice species, surface H2O and CO, and gas CO in our reference model. Bottom: the fractional surface coverage of the main ice species corresponds to the fraction of molecules in the four topmost layers of a dust grain.
Current usage metrics show cumulative count of Article Views (full-text article views including HTML views, PDF and ePub downloads, according to the available data) and Abstracts Views on Vision4Press platform.
Data correspond to usage on the plateform after 2015. The current usage metrics is available 48-96 hours after online publication and is updated daily on week days.
Initial download of the metrics may take a while.