Fig. 2

Download original image
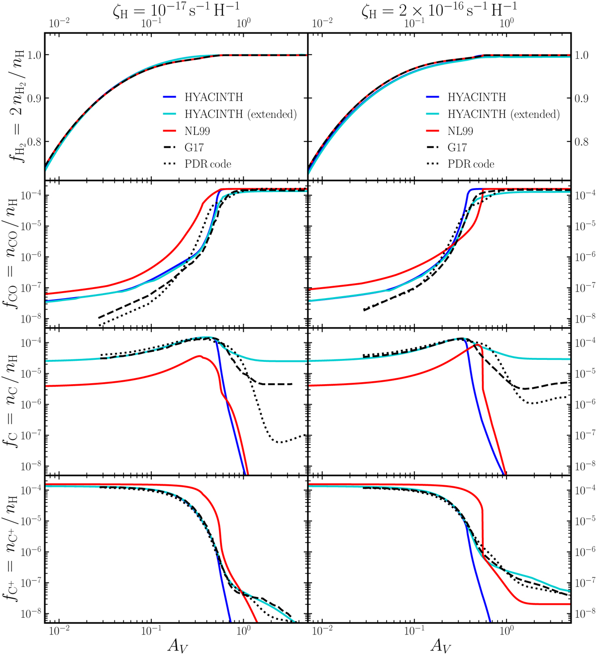
Comparison of the chemical network in HYACINTH with NL99 and G17 networks. The abundances of H2, CO, C, and C+ as a function of the visual extinction AV in a semi-infinite plane-parallel slab are shown in different panels. The left column shows the abundances for a CRIR (ζH) of 10–17 s–1 H–1 while the right one has ζH = 2 × 10–16 s–1 H–1. The blue, turquoise, and red lines represent the results from HYACINTH, extended HYACINTH, and NL99 respectively. Here extended HYACINTH refers to the HYACINTH network with additional chemical reactions for He+ and HCO+ that are not part of standard HYACINTH (see text for more details). The dashed and dotted black lines show, respectively, the abundances from the chemical network and the PDR code in G17. The slab has a uniform hydrogen density nII = 1000 cm–3, solar metallicity and solar dust abundance, and is illuminated from one side by a UV field of strength χ = 1.
Current usage metrics show cumulative count of Article Views (full-text article views including HTML views, PDF and ePub downloads, according to the available data) and Abstracts Views on Vision4Press platform.
Data correspond to usage on the plateform after 2015. The current usage metrics is available 48-96 hours after online publication and is updated daily on week days.
Initial download of the metrics may take a while.