Fig. 3

Download original image
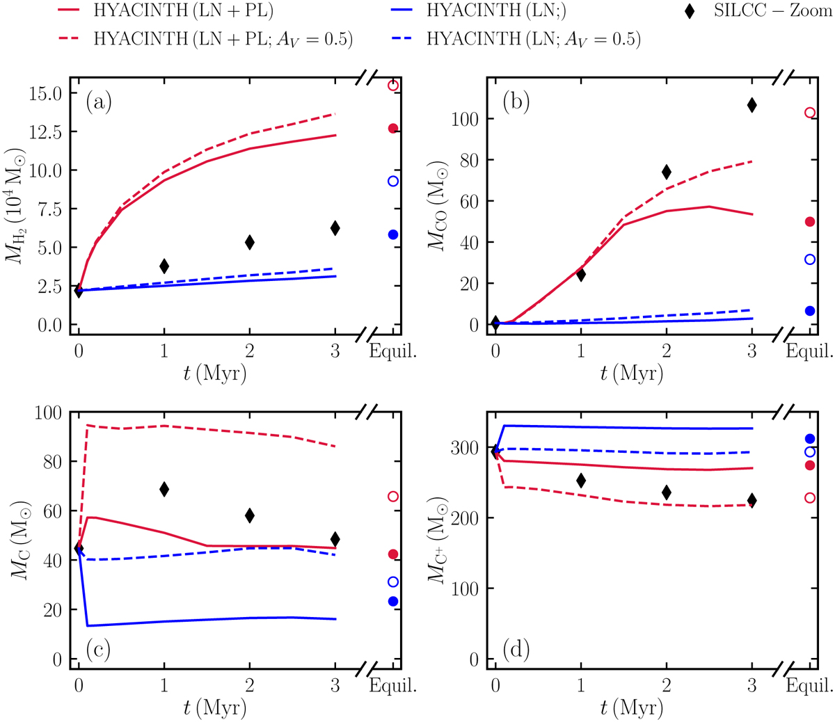
Time evolution of the total mass of different chemical species contained in a (175 pc)3 region encompassing the molecular cloud MC1-HD from the SILCC-Zoom simulations (black diamonds). The curves show the corresponding results from four low-resolution hydrodynamic simulations that use HYACINTH as a sub-grid model for the chemical evolution. The colour coding distinguishes runs obtained assuming either the LN PDF (blue) or the LN+PL PDF (red). The line style indicates the strength of the assumed uniform UV ISRF: G0 = 1.7 in Habing units with no attenuation (solid) or with an effective visual extinction of AV = 0.5 (dashed). The circles on the right-hand-side of the panels show the masses derived by assuming that the final snapshot of each simulation is in chemical equilibrium. Filled and empty symbols refer to the zero attenuation and AV = 0.5 runs, respectively.
Current usage metrics show cumulative count of Article Views (full-text article views including HTML views, PDF and ePub downloads, according to the available data) and Abstracts Views on Vision4Press platform.
Data correspond to usage on the plateform after 2015. The current usage metrics is available 48-96 hours after online publication and is updated daily on week days.
Initial download of the metrics may take a while.