Fig. 10.

Download original image
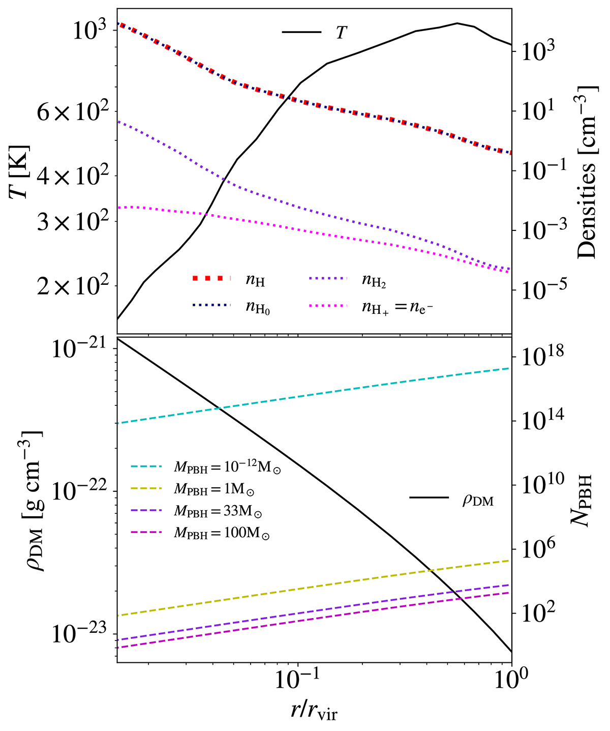
Temperature, numerical densities, and DM density profiles as functions of distance from the halo center. In the upper panel, the continuous line illustrates the temperature (left y-axis), and the dashed lines represent numerical densities (right y-axis), both as functions of distance from the halo center in units of the virial radius, as obtained from Liu et al. (2022). In the lower panel, the continuous line denotes the DM density profile (NFW) on the left y-axis, and on the right y-axis, the number of PBHs enclosed within each radius for a specific monochromatic mass is shown, as labeled. The halo under consideration is at z = 30.3 and has Mvir = 2 × 105 M⊙, with rvir = 60 pc.
Current usage metrics show cumulative count of Article Views (full-text article views including HTML views, PDF and ePub downloads, according to the available data) and Abstracts Views on Vision4Press platform.
Data correspond to usage on the plateform after 2015. The current usage metrics is available 48-96 hours after online publication and is updated daily on week days.
Initial download of the metrics may take a while.