Fig. 11.

Download original image
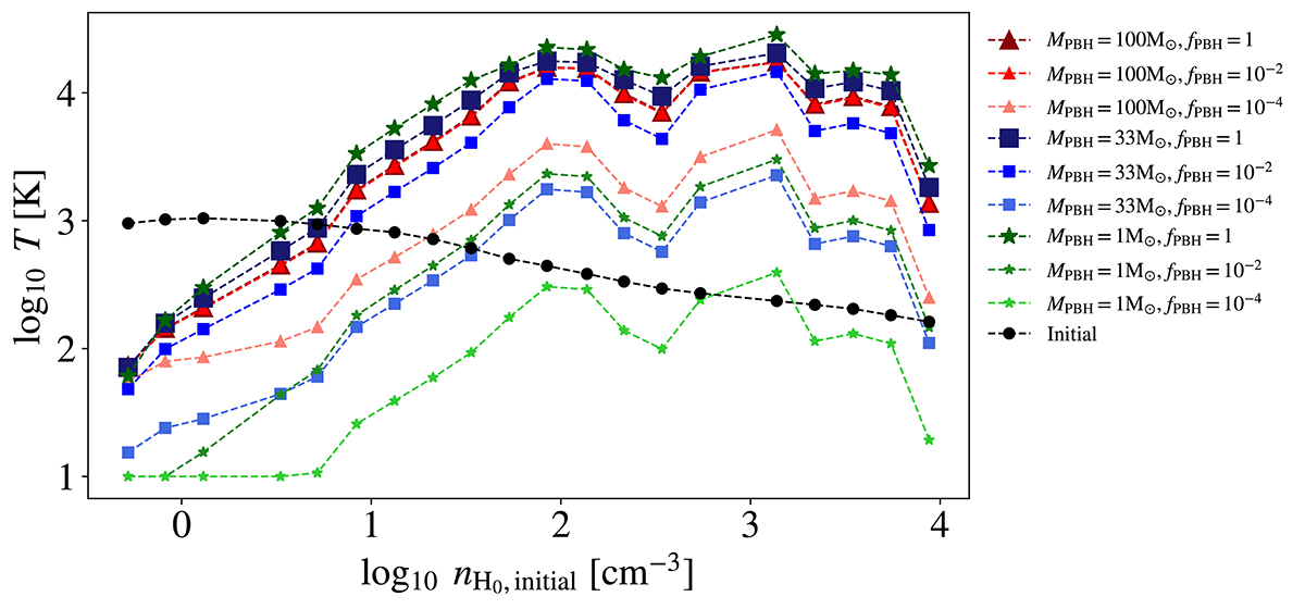
Final gas temperature inside the halo characterized in Fig. 10 as a function of the initial neutral hydrogen number density of each gas shell. The final temperature is computed considering different PBHs masses and various fractions of DM composed of these PBHs, as labeled. The initial temperature is included with black circles.
Current usage metrics show cumulative count of Article Views (full-text article views including HTML views, PDF and ePub downloads, according to the available data) and Abstracts Views on Vision4Press platform.
Data correspond to usage on the plateform after 2015. The current usage metrics is available 48-96 hours after online publication and is updated daily on week days.
Initial download of the metrics may take a while.