Fig. 2

Download original image
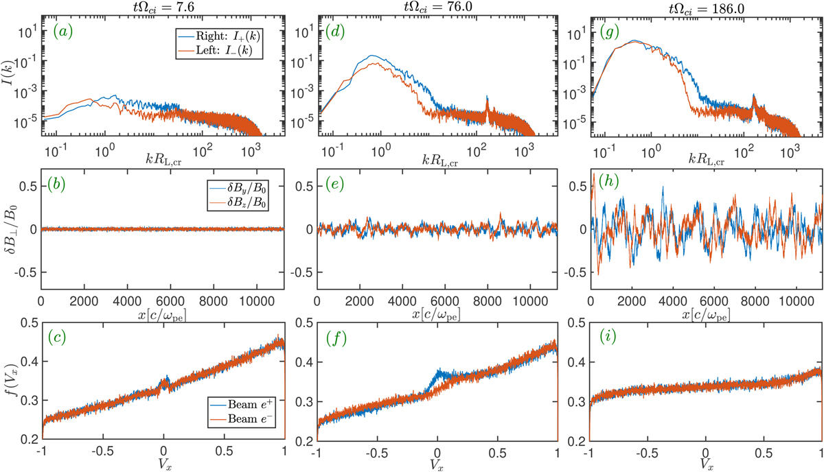
Wave spectrum I(k) of right-handed and left-handed polarisation waves (top panels: a, d, and g), spatial profile of magnetic field fluctuations δBy,z/B0 (middle panels: b, e, and h) and distribution function of beam electrons and positrons f(Vx) and different times of the simulation (bottom panels: c, f, and i). Left column corresponds to early time (tΩci = 7.6), middle column to the linear phase (tΩci = 76) and right column to the saturated phase of the instability (tΩci = 186).
Current usage metrics show cumulative count of Article Views (full-text article views including HTML views, PDF and ePub downloads, according to the available data) and Abstracts Views on Vision4Press platform.
Data correspond to usage on the plateform after 2015. The current usage metrics is available 48-96 hours after online publication and is updated daily on week days.
Initial download of the metrics may take a while.