Fig. 3

Download original image
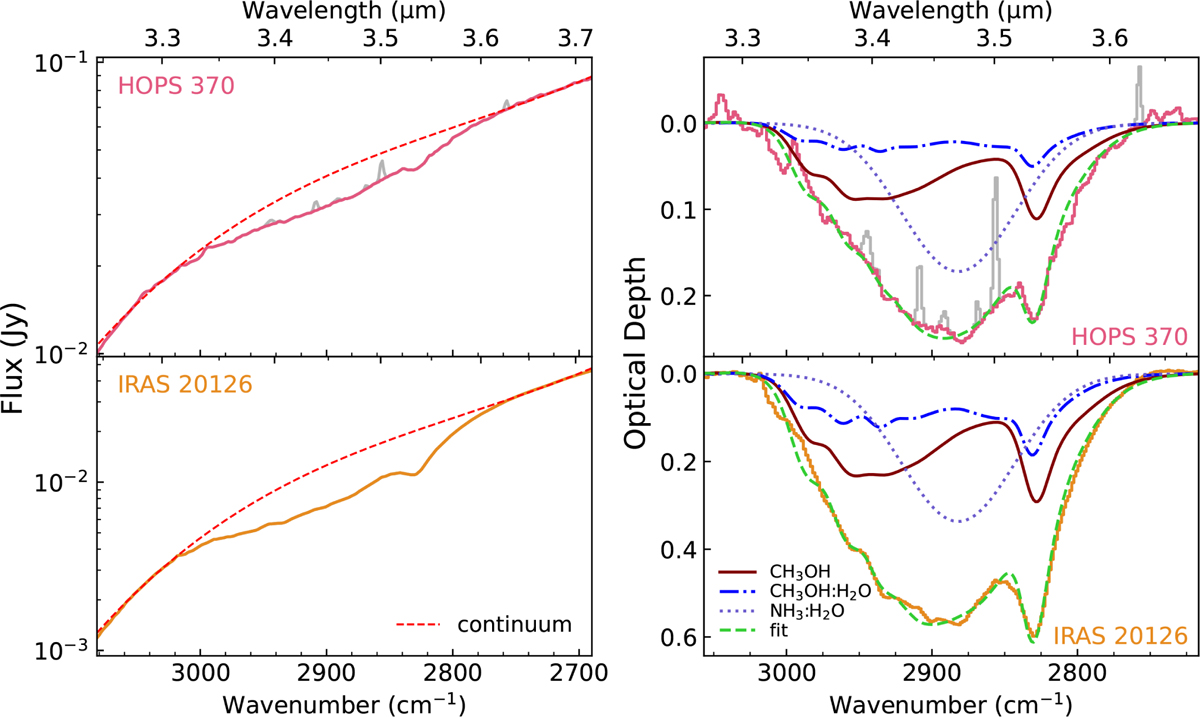
Extraction and fitting of the CH3OH 3.53 µm band. Left: adopted local continua. Right: fits to the extracted optical depth spectra. Some of the substructures present at 3.4 µm in the high S/N spectrum of IRAS 20126 are well reproduced by the more prominent CH3OH overtones and C-H asymmetric stretching modes that emerge in H2O-rich CH3OH spectra.
Current usage metrics show cumulative count of Article Views (full-text article views including HTML views, PDF and ePub downloads, according to the available data) and Abstracts Views on Vision4Press platform.
Data correspond to usage on the plateform after 2015. The current usage metrics is available 48-96 hours after online publication and is updated daily on week days.
Initial download of the metrics may take a while.