Fig. 10

Download original image
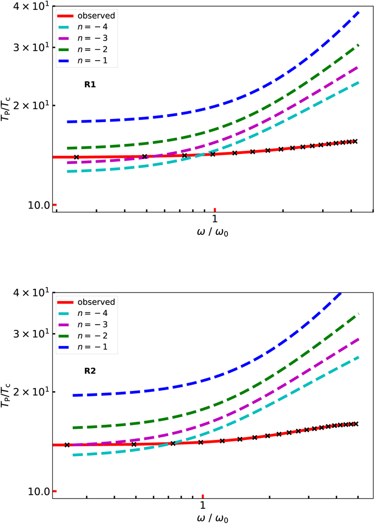
Radial profiles of the observed temperature and the polytropic temperature, TP (normalized to the central temperature value, Tc, for the same polytropic indexes, n, as in Fig. 9). Solid and dashed lines represent observations and models, respectively. The black crosses indicate the observation data points. The top and bottom panels represent regions R1 and R2 of the filament, respectively.
Current usage metrics show cumulative count of Article Views (full-text article views including HTML views, PDF and ePub downloads, according to the available data) and Abstracts Views on Vision4Press platform.
Data correspond to usage on the plateform after 2015. The current usage metrics is available 48-96 hours after online publication and is updated daily on week days.
Initial download of the metrics may take a while.