Fig. 12

Download original image
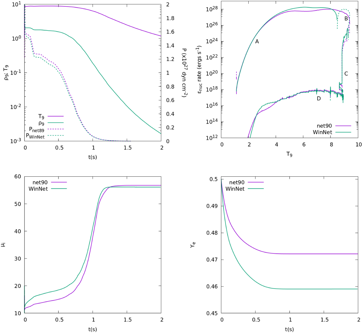
Results of the W7 test. Top left: evolution of temperature and pressure for the density evolution of the central region of the W7 model, Top right: evolution of the rate of released nuclear energy obtained with net90 and WinNet as a function of T9. Letters A-D refer to normal combustion, relaxation to NSE, full NSE, and adiabatic expansion, respectively. Bottom-left: evolution of the mean molecular weight μi of ions obtained with net90 and WinNet. Bottom right: evolution of the electron molar fraction Ye μi obtained with net90 and WinNet.
Current usage metrics show cumulative count of Article Views (full-text article views including HTML views, PDF and ePub downloads, according to the available data) and Abstracts Views on Vision4Press platform.
Data correspond to usage on the plateform after 2015. The current usage metrics is available 48-96 hours after online publication and is updated daily on week days.
Initial download of the metrics may take a while.