Open Access

Fig. 20

image

Download original image

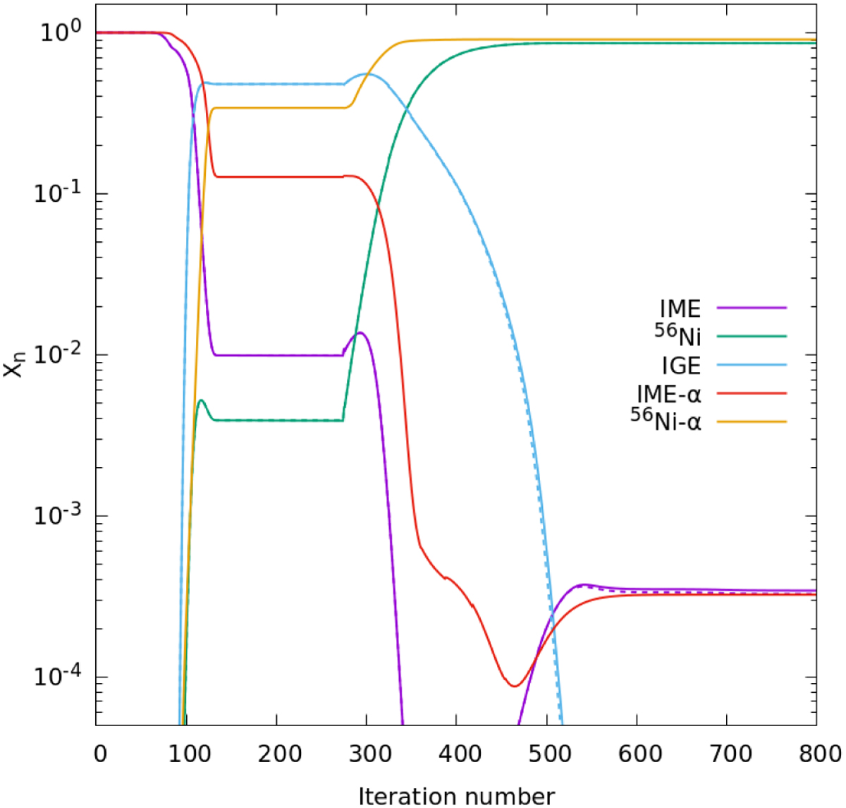
Results of the Si test. The mass fractions in Fig. 19 are grouped in three nuclear families (see Fig. 6 for a definition of these groups) for net90-noec (dashed lines), net90 (continuum lines) and the net14 (α-network).

Current usage metrics show cumulative count of Article Views (full-text article views including HTML views, PDF and ePub downloads, according to the available data) and Abstracts Views on Vision4Press platform.

Data correspond to usage on the plateform after 2015. The current usage metrics is available 48-96 hours after online publication and is updated daily on week days.

Initial download of the metrics may take a while.