Open Access
Fig. 21

Download original image
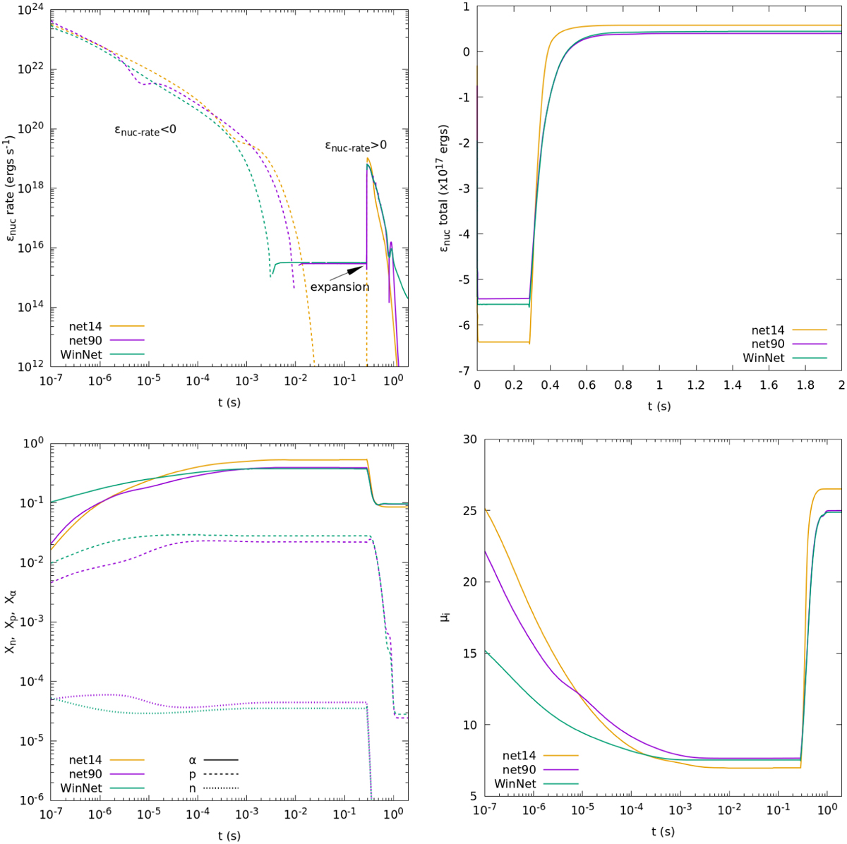
Results of the Si test. The upper panels show the evolution of the nuclear energy generation rate (left) and total released nuclear energy (right), while the lower panels depict the evolution of the mass fraction of the lighter elements n, p, and α particles (left), and mean molecular weight of ions, μi (right).
Current usage metrics show cumulative count of Article Views (full-text article views including HTML views, PDF and ePub downloads, according to the available data) and Abstracts Views on Vision4Press platform.
Data correspond to usage on the plateform after 2015. The current usage metrics is available 48-96 hours after online publication and is updated daily on week days.
Initial download of the metrics may take a while.