Fig. 6

Download original image
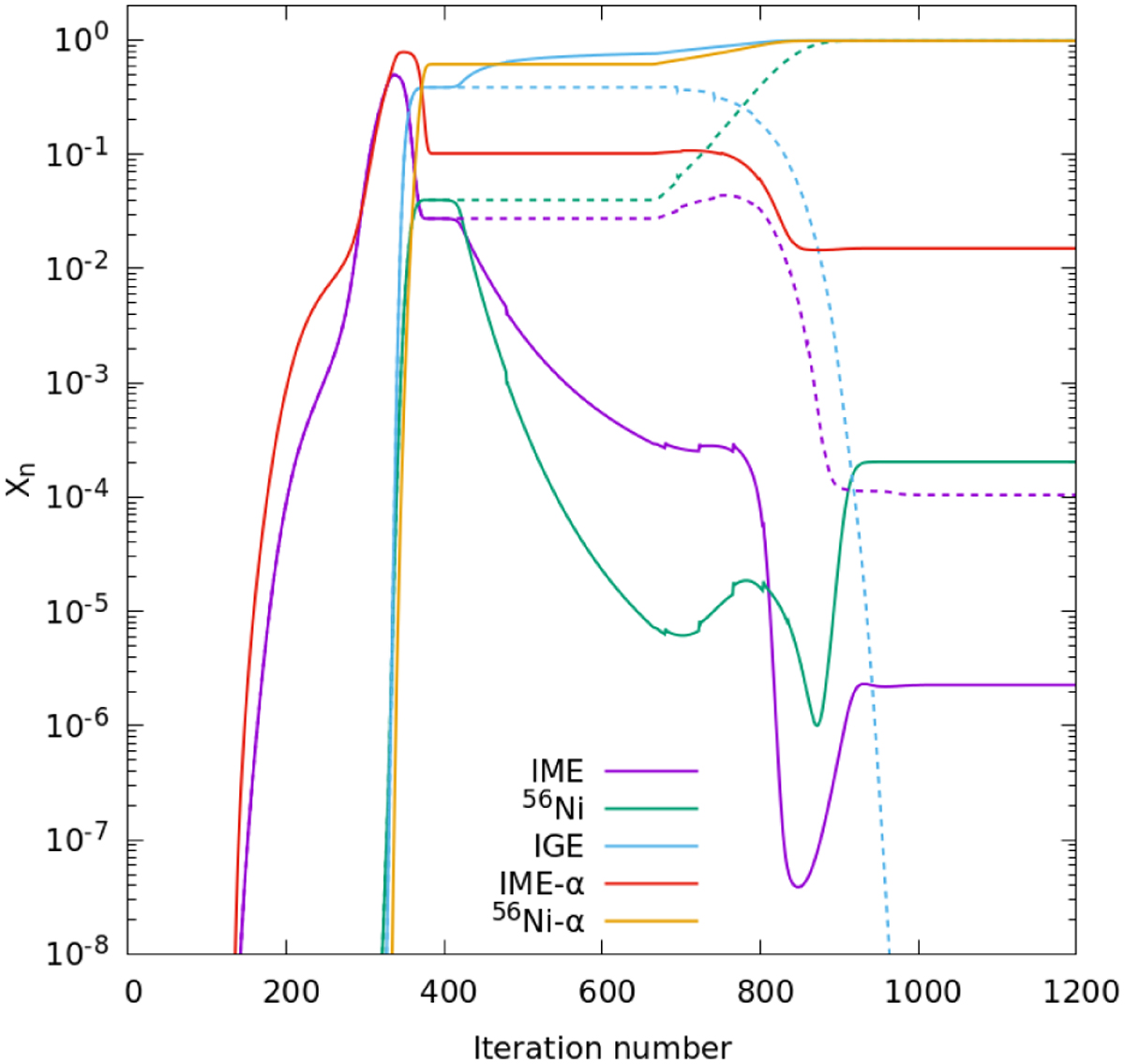
Results of the CO test. Mass fractions in Fig. 5, but grouped in three nuclear families: intermediate-Mass α-Elements (IME, 28Si+32S+36Ar+40Ca+44Ti), α-Iron nuclei (48Cr+52Fe+56Ni+60Zn, labelled as 56Ni), and neutronized Iron-Group Elements (IGE, 54Fe+58Ni+57Co+58Co. Solid lines are for net90 and dashed lines are for net90-noec. We also show two lines calculated with net14 (α-network).
Current usage metrics show cumulative count of Article Views (full-text article views including HTML views, PDF and ePub downloads, according to the available data) and Abstracts Views on Vision4Press platform.
Data correspond to usage on the plateform after 2015. The current usage metrics is available 48-96 hours after online publication and is updated daily on week days.
Initial download of the metrics may take a while.